




イメージバナー
キャッチフレーズ
Dashboard_Harmonics_v5 取扱説明書
1. 概要
本インジケータは、MetaTrader 4 (MT4) 用の多通貨ペア・多パターン対応のハーモニックパターン検出ツールです。
指定した複数の通貨ペアを常時監視し、ハーモニックパターン(Gartley, Bat,
Butterfly, Crab)が形成された瞬間にダッシュボードへ通知します。また、現在開いているチャート上でパターンが検出された場合、自動的に図形を描画します。
2. 検出可能なパターンと特徴
本ツールは、5つの点(X, A,
B, C, D)で構成されるハーモニックパターンを検出し、チャート上に色のついた三角形とラインで描画します。
基本構造と色分け
すべてのパターンは、波の形状によって「買い」と「売り」の2方向に分類されます。インジケータのデフォルト設定では、以下のように色分けされます。
●Bullish(買いパターン):緑色で表示
「M」のような形を描き、D点から反転上昇を狙うパターンです。
- 始点 X が安値になります。
- D点(エントリーポイント)で買いを狙います。
コード
graph TD
A[A 高値] --> B[B 戻り]
X[X 安値 ●]
--> A
B --> C[C 高値]
C --> D[D 安値 ● 買いエントリー]
style X fill:#e6f7ff,stroke:#0066cc
style D fill:#e6f7ff,stroke:#0066cc,stroke-width:2px
style A stroke:none
style B stroke:none
style C stroke:none
linkStyle 0 stroke:#0066cc,stroke-width:2px
linkStyle 1 stroke:#0066cc,stroke-width:2px
linkStyle 2 stroke:#0066cc,stroke-width:2px
linkStyle 3 stroke:#0066cc,stroke-width:2px
🔴
Bearish(売りパターン):赤色で表示
「W」のような形を描き、D点から反転下落を狙うパターンです。
- 始点 X が高値になります。
- D点(エントリーポイント)で売りを狙います。
コード
graph TD
X[X 高値 🔴]
--> A[A 安値]
A --> B[B 戻り]
B --> C[C 安値]
C --> D[D 高値 🔴 売りエントリー]
style X fill:#ffe6e6,stroke:#cc0000
style D fill:#ffe6e6,stroke:#cc0000,stroke-width:2px
style A stroke:none
style B stroke:none
style C stroke:none
linkStyle 0 stroke:#cc0000,stroke-width:2px
linkStyle 1 stroke:#cc0000,stroke-width:2px
linkStyle 2 stroke:#cc0000,stroke-width:2px
linkStyle 3 stroke:#cc0000,stroke-width:2px
各パターンの詳細定義
本ツールは、以下の4つの主要パターンを自動判別します。それぞれの違いは**「B点の戻りの深さ」と「D点の目標位置」**にあります。
1. Gartley(ガートレー)
最も基本となるバランスの良いパターンです。
- B点: XAに対して約
61.8% 戻す。
- D点: XAに対して約
78.6% 戻した位置が目標。
[図解] Bullish
Gartley (緑色表示)
- エントリーポイント
- W字型:D点での反落を確認し、売りエントリー
- M字型:D点での反発を確認し、買いエントリー
- 損切りポイント:X点付近
- 利益確定ポイント:A点まで
2. Bat(バット)
GartleyよりもB点の戻りが浅く、その分D点が深く(X点近くまで)戻るパターンです。
- B点: XAに対して
38.2% ~ 50% の浅い戻り。
- D点: XAに対して約
88.6% という深い位置が目標。
[図解] Bullish Bat
(緑色表示)
エントリーポイント:D点付近でエントリー
損切りポイント:X点を目安に設定
利益確定ポイント:A点までを目標
3. Butterfly(バタフライ)
D点が始点Xを超えて伸びていく「拡張」パターンです。トレンドの転換点(天井や底)でよく見られます。
- B点: XAに対して約
78.6% の深い戻り。
- D点: XAの 127.2%(X点を超えた位置)が目標。
[図解] Bullish
Butterfly (緑色表示)
エントリーポイント:D点付近でエントリー
損切りポイント:D点を明確に上回った段階
利益確定ポイント:第一ターゲット:0.382AD付近/第二ターゲット:0.618AD付近
4. Crab(クラブ)
バタフライと同様の「拡張」パターンですが、D点が最も鋭く、大きく伸びるのが特徴です。強力な反転サインとなることがあります。
- B点: XAに対して
38.2% ~ 61.8% の範囲。
- D点: XAの 161.8%(X点を大きく超えた位置)が目標。
[図解] Bullish
Crab (緑色表示)
エントリーポイント:D点付近でエントリー
損切りポイント:XAの161.8%ラインの外側
利益確定ポイント:D点とB点の間にできる利確ゾーン
パターン定義まとめ(許容誤差について)
本ツールでは、上記の理想的な比率に対し、設定パラメータ Tolerance(許容誤差)の範囲内であればパターン成立とみなします。
|
パターン名 |
B点の戻り (XAに対して) |
D点の目標 (XAに対して) |
|
Gartley |
61.8% 付近 |
78.6% 戻し |
|
Bat |
38.2% ~ 50% |
88.6% 戻し |
|
Butterfly |
78.6% 付近 |
127.2% 拡張 (X超え) |
|
Crab |
38.2% ~ 61.8% |
161.8% 拡張 (X超え) |
3. 画面表示と機能
ダッシュボード機能(画面左上)
登録された通貨ペアの状況を一覧表示します。
- Symbol: 監視している通貨ペア名
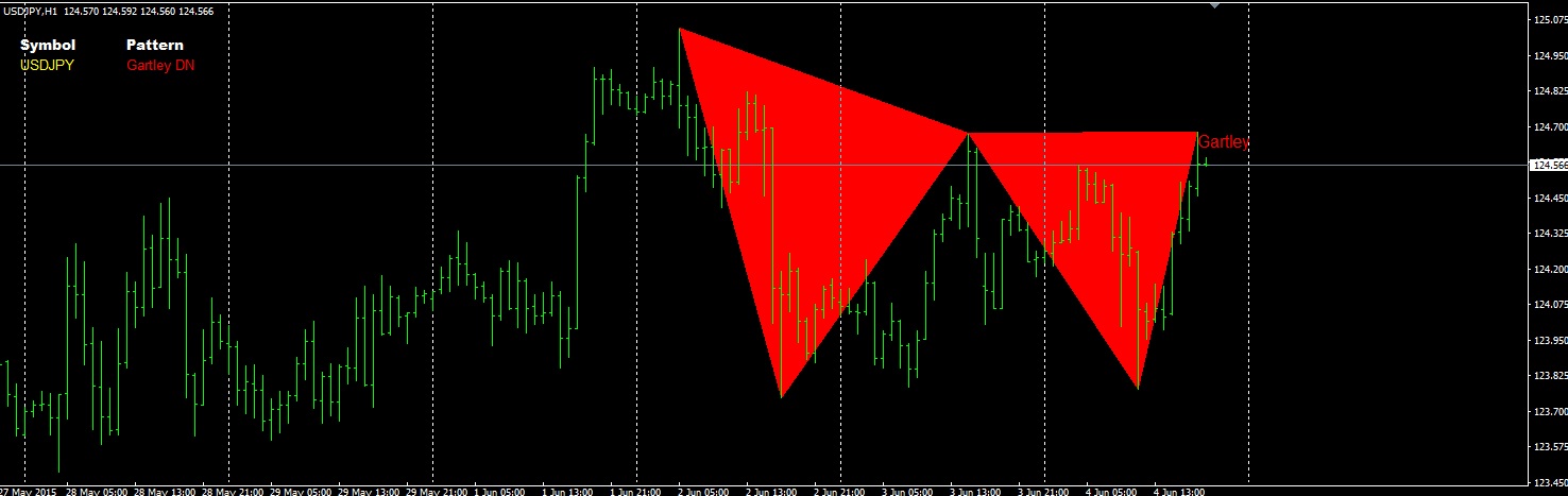
- Pattern: 検出されたパターン名と方向(例: Gartley UP, Bat DN)
- 検出なしの場合は --- (グレー) と表示されます。
チャート描画機能
現在表示しているチャートの通貨ペア・時間足でパターンが検出された場合、以下の図形を自動描画します。
- 三角形: X-A-B(始動部)と B-C-D(完成部)の2つの三角形。
- パターン名: D地点にパターン名(例: Butterfly)を表示。
- 色分け: 買いパターンは青系、売りパターンは赤系で表示(設定で変更可能)。
4. パラメータ設定(プロパティ)
インジケータ導入時の「パラメーターの入力」タブで設定できる項目です。
基本設定
|
パラメータ名 |
デフォルト値 |
説明 |
|
TargetSymbols |
USDJPY,EURUSD... |
監視したい通貨ペアをカンマ区切りで入力します(スペース不要)。
例: USDJPY,EURUSD,GBPUSD,GOLD |
|
MonitorPeriod |
0 |
監視する時間足を設定します。
0=現在のチャートの時間足,
15=15分足, 60=1時間足, 240=4時間足 |
表示設定 (Display Settings)
|
パラメータ名 |
デフォルト値 |
説明 |
|
BaseX / BaseY |
20 / 30 |
ダッシュボードの表示開始位置(X座標, Y座標)。 |
|
FontSize |
10 |
ダッシュボードの文字サイズ。 |
|
ColorUp |
DeepSkyBlue |
買いパターン(UP)検出時の文字・図形色。 |
|
ColorDown |
OrangeRed |
売りパターン(DOWN)検出時の文字・図形色。 |
描画設定 (Drawing Settings)
|
パラメータ名 |
デフォルト値 |
説明 |
|
EnableDrawing |
true |
チャート上に三角形や線を描画するか(true=描画する)。 |
|
FillTriangles |
true |
三角形の中を塗りつぶすか(false=枠線のみ)。 |
|
ShowPatternName |
true |
チャート上のD点付近にパターン名を表示するか。 |
ロジック設定 (Logic / ZigZag)
|
パラメータ名 |
デフォルト値 |
説明 |
|
Tolerance |
0.10 |
許容誤差。フィボナッチ比率からどれくらいのズレを許すか。
0.10 は ±10% の誤差を許容します。
値を小さくすると判定が厳しくなり、大きくすると検出数が増えます。 |
|
InpDepth |
12 |
ZigZagのDepth設定。波の細かさを調整します。 |
|
InpDeviation |
5 |
ZigZagのDeviation設定。 |
|
InpBackstep |
3 |
ZigZagのBackstep設定。 |
5. 導入・トラブルシューティング
導入方法
- MT4のメニュー「ファイル」→「データフォルダを開く」を選択。
- MQL4 > Indicators フォルダに
Dashboard_Harmonics_v5.mq4 (またはex4) を保存。
- MT4のナビゲーターウィンドウで右クリックし「更新」。
- インジケータをチャートにドラッグ&ドロップ。
よくある質問
- Q: ダッシュボードがずっと「---」のままです。
- A: ハーモニックパターンは頻繁に出現するものではありません。また、Tolerance(許容誤差)が厳しすぎる可能性があります。テスト時は 0.15 ~ 0.20 程度に広げてみてください。
- Q: 監視通貨ペアが表示されません。
- A: TargetSymbols に入力した通貨ペア名が、気配値ウィンドウの表記と完全に一致しているか確認してください(例: USDJPY.pro などサフィックスが必要な場合があります)。
- Q: パターンが出たり消えたりします。
- A: 本ツールはZigZagインジケータを使用しています。ZigZagは最新の価格変動によって頂点の位置が変わる(リペイント)特性があるため、形成中のパターンは消えることがあります。これは仕様です。
免責事項:
本ツールは相場分析を補助するものであり、利益を保証するものではありません。実際の取引においてはご自身の判断と責任で行ってください。
For those using GogoJungle for the first timeEasy 3 steps to use the product!
At GogoJungle, we provide services to enrich your investment life for our members. In addition, product purchases are normally limited to members. Why not register as a member now and make use of GogoJungle!




