

| Provider/Distributor | GogoJungle Co., Ltd. |
| Sales site | GogoJungle |
「境界」を可視化
エントリー・利確・損切りの
「優位性」を明確化
・実際のチャートでは、基準とすべき「高値・安値」が分からない
・上位と下位の波が混在し「どのトレンド」を軸にすべきか迷う
・トレンドやブレイクを、エントリー・利確・損切りに活かせない
これらは、基礎とされるダウ理論を学んだ人が陥る定番の悩みです。
環境認識の基準が曖昧なことで起こります。
『ブレイクエッジPro』は、これらを解決へ導きます。
ダウザグ『ブレイクエッジPro』の名称は、ダウ理論に沿ったジグザグによるブレイクのエッジ(境界 × 優位性)を意味します。
ダウ理論に沿った「世界最小ジグザグ」と「上位ジグザグ」との5階層で、トレンドとブレイクの優位性を、スコア判定・可視化するMT4インジケーターです。
その中身は、次の3本柱で構成されています。
『世界最小ジグザグ』
ダウ理論に基づき「バー1本」単位で波を定義した世界最小のジグザグです。
主観が入る余地のない最小単位で、絶対基準として揺るがない土台です。
『最高精度ダウ分析』
世界最小ジグザグの土台から上位ジグザグまでの5階層で構成されています。
ダウ理論にもとづいて忠実に構築し、色分けによって環境認識しやすく可視化しています。
『ブレイク優位性解析』
5階層すべてのダウ波動のブレイク方向をスコア集計しています。
優位性の生じたレートに BreakEdge(記号:━)を表示します。
エントリー・利確・損切りに使える「境界×優位性」が一目で分かります。
「どの波を見るか」「どちらの向きが優位か」「どの価格が境界か」が、1つのチャート上に整理されています。
本インジケーターでできることを、簡単に一覧化します。
・世界最小ジグザグ(基底波)の自動描画
・世界最小ジグザグを土台とした5階層のダウ理論ジグザグの同時表示
・各階層のトレンド状態(上昇/下降/横ばい)の色分け表示
・各階層のブレイク方向の判定と、ブレイク優位性のスコアリング
・優位性のあるブレイク価格に BreakEdge(記号:━)を表示
・転換をいち早く察知できる低スコアの BreakEdge(記号:━)表示
・スコアパネルによる、方向性・勢い・トレンドの一覧表示
・トレンド方向が揃ったタイミングなど、条件に応じたアラート通知
(ポップアップ/メール/スマホアプリへのプッシュ通知)
・各階層・表示要素・アラート条件の細かなカスタマイズ
まずは、本商品の挙動を動画でご確認ください。
たっぷり2年分の挙動確認用動画です。
USDJPY D1 2024/01/01-2025/11/8
画質が悪い時は、Youtubeの設定から1080pに変更してください。
1.推奨時間足(5分足以上)でインジを表示
2.上位足のDowZag+BreakEdgeで、大きな方向と境界を把握
3.下位足のDowZag+BreakEdgeで、押し目/戻り候補を確認
4.低スコア反転のBreakEdgeを参考に、利確・損切りを検討
5.アラート機能で転換のタイミングを見逃さない
本インジケーターは、初級者から中級者にお使いいただくのが最適かと思います。
「高値・安値・トレンド・ブレイク・押し目買い・戻り売り」といったワードすら耳馴染みがない「完全初心者」にはおすすめいたしません。
逆に、基礎は一周したが、波やトレンドの捉え方にブレがある方や、チャートを読む力を高めたい裁量トレーダーには、特に大きなメリットを感じていただけます。
対象ペア:MT4で表示できる全ての商品
・主要FX通貨ペア(USDJPYなど)
・株価指数・商品・仮想通貨(SP500/日経225/ゴールド/ビットコインなど)
時間足:MT4のすべての時間足で表示可能
・推奨:5分足以上
・後述にある通り、ダウ理論は大きい時間足で効果を発揮しやすいです。
ご購入前に、次の点を必ずご確認ください。
・本インジケーターは「シグナル通りにトレードすれば勝てる」といった類のツールではありません。
・本商品は裁量トレード支援用のMT4インジケーターであり、EA(自動売買)ではありません。
・実戦での使い勝手を重視し、サイン表示はリアルタイムにしています。(足確定後ではないので、直近足でリペイントが発生します)
・アラートや通知を「足確定後」に変更する設定が可能です。
・本商品はゴゴジャングルのWEB認証を使っています。
・登録できる口座番号は1つです(登録口座変更は可能)。
・登録口座であれば、複数のMT4にインジを設置できます。
・デジタル商品の性質上、返品・返金はお受けしておりません。
・FX取引には元本割れを含むリスクがあります。
・当商品は特定の利益や運用成績を保証するものではありません。
・投資判断・リスク管理は、すべてお客様ご自身の責任にてお願いいたします。
確認済み動作環境(目安)
・OS:Windows 10/11
・CPU:2.0GHz以上のプロセッサー
・メモリ:64bit版 8GB以上推奨
・解像度:1024×768 以上
・通信環境:ブロードバンド回線(光回線など)
※ノートPCやMac版MT4では、デスクトップPC・Windows版MT4と比べて、やや重く感じる場合があります。
表示環境
・無料の取引プラットフォーム MetaTrader4(MT4)で稼働します。
・MT4未経験の方は、事前にデモ口座などで動作感を確認しておくと安心です。
ご購入後、GoGoJungleのマイページから本インジケーターをダウンロード
MT4を起動し、「データフォルダ」→ MQL4 → Indicators フォルダにファイルを保存
MT4を再起動し、「ナビゲーター」から本インジケーターをチャートにドラッグ&ドロップ
「DLLの使用を許可する」にチェックを入れ、必要なパラメータを設定
マニュアルに沿ってWeb認証(口座番号の登録)を行えば完了です。
価格:¥2,618(税込)
形態:月額制(毎月自動継続課金/購入日から30日間有効)
ご解約はマイページからボタンを押すだけです。
買切りのニーズがあれば対応いたします。
本商品は、今後も機能向上や改良を重ねていく前提で設計しています。
そのため将来的に価格改定を行う場合があります。
すでにご契約中のお客様は、改定後もご契約時の条件が維持されます。
※ 詳細はGoGoJungleの規約・仕様に準じます。
そもそも、なぜダウ理論を学ぶかは、ご理解されていますか?
相場が大きく動く局面は、多くのトレーダーが意識している価格帯で起こりやすいです。
チャートを読むためには、「市場参加者がどこを見ているのか」を客観的に分析することが欠かせません。
多くのトレーダーがチャート分析を行う上で、共通の基準としているのが『ダウ理論』です。
強い値動きはダウ理論の考え方に沿ったポイントで起こりやすいため、チャートを読む前提としてダウ理論を学ぶ必要があります。
ダウ理論はテクニカル分析の土台を築いた、最も古く、最も有名なテクニカル理論の一つです。
100年以上前から使われ続けており、多くの相場理論がダウ理論の考え方をもとに発展してきました。
ダウ理論を理解すれば、他の多くの分析手法も理解しやすくなります。
ダウ理論を学ぶと、明確でシンプルなので、簡単そうに感じます。
でも、実際のチャートに当てはめると、どの角を結ぶべきか分からず、途端に難しく感じます。
理由は、チャートが、大小様々なトレンドが絡み合った『フラクタル形状』をしているからです。
フラクタル(自己相似性)は、図形の部分と全体とが自己相似(再帰)になっているものをいいます。
これが、「どの角を線で結ぶか」が、同じチャートでも人によって認識が変わってしまう要因です。
参考: Wikipedia コッホ曲線
さて、では、どの様にチャート分析をするのが良いか分かりますか?
世界最小ジグザグは、ダウ理論に基づき「バー1本単位」で波を定義した、主観が入る余地のない最小単位で、絶対基準として揺るがない土台です。
陰線・陽線も判定対象としており、ダウ理論に基づいて緑・赤・青・黄の4色によってトレンドや横ばいの違いを表現しています。
デフォルトの色設定は以下の4つです。
緑:高値のみ更新する
赤:安値のみ更新する
青:高値も安値も更新しない
黄:高値も安値も更新する
* 緑・赤・黄は、高値か安値を更新するまでは青です。
トレンドは、相場の方向性を意味します。
ダウ理論においてのトレンドは、以下の様に定義付けされています。
ダウントレンド:高値切り下げと安値更新
アップトレンド:安値切り上げと高値更新
『横ばいトレンド』とは、相場に方向性がない横ばい状態を意味します。
チャートは、一般的に『トレンド』と『横ばいトレンド』に分類されます。
ただ、『横ばいトレンド』には明確な基準がなく曖昧です。
本インジケーターでは、厳密に分類できる『トレンド』と『三角』『逆三角』で判定しています。
三角:高値も安値も更新しない
逆三角:高値も安値も更新する
最高精度ダウ分析を可能とする構造は、世界最小ジグザグを土台とすることが前提です。
そして、ダウ理論のトレンド基準に沿ってトレンドを1つずつ束ね、全てが完全に連動した上位のダウ理論ジグザグ(ダウザグ)を構築するのです。
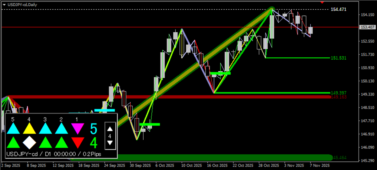
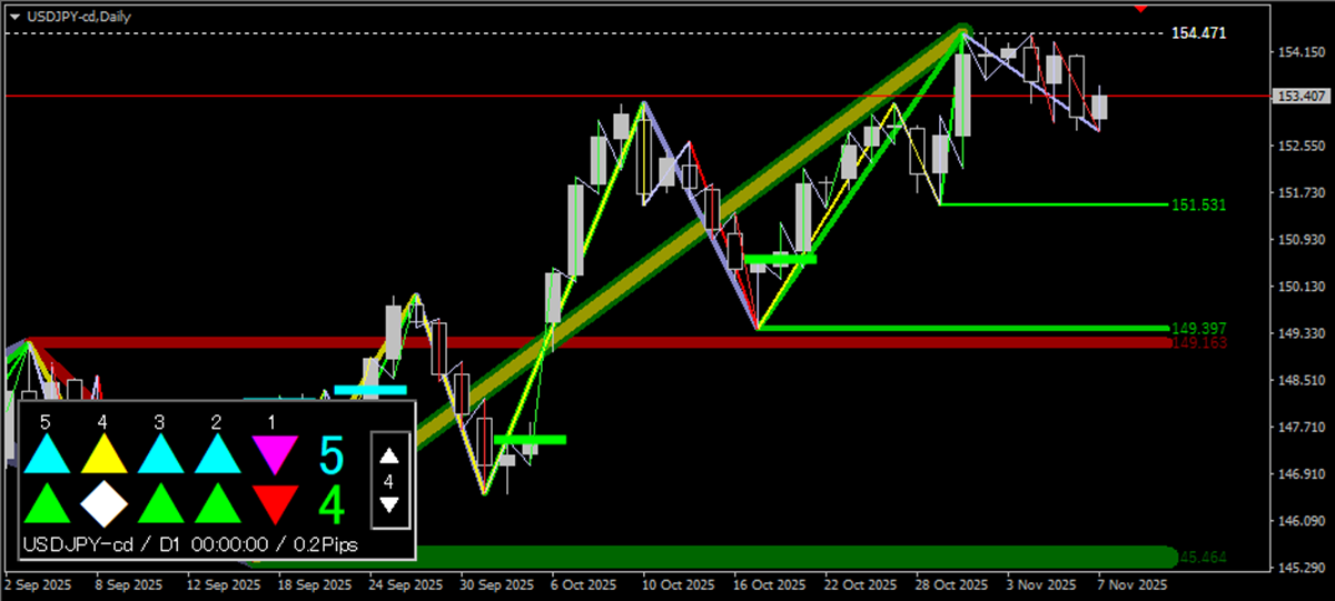
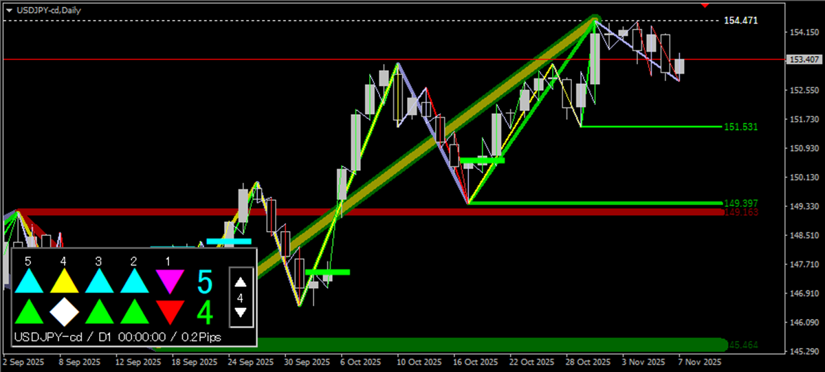
上画像は、世界最小ダウザグです。
上画像は、世界最小ダウザグを束ねた上位ダウザグです。
更に上位のダウザグです。
上画像を見て、上位・下位で、ダウ理論に沿った連動が分かりますか?
もし、分かったなら、あなたはダウ理論を正しく理解できています。
こうした「一番細かい波」から「大きな波」までを、すべて同じルールで階層化しておくことが、後続の分析(ダウ理論のブレイク・優位性)の前提になります。
ZigZagは、1977年にArthur A. Merrillが著書で紹介した『縦軸(値幅%)』基準が始まりです。
MT4標準装備のは『横軸(期間)』基準で、時間足や分足の登場に適応した約20年前の仕様です。
これらは、フラクタルなチャートに、一定の基準でチャートの山(レジスタンス)と谷(サポート)を視覚化していくれる便利ツールですが、致命的なバグが多発します。
高値や安値を拾わない、ジグザグしていない、表示されないなど、ダウ理論に基づくトレンド解析は満足に行えません。
『ブレイクエッジPro』は、既存ZigZagに依存せずにゼロから構築された、ZigZag発案者Arthur A. Merrillの時代では作れなかった、よりダウ理論に忠実な、より優れたZigZagです。
では、世界最小ジグザグとその階層構造を使った、ブレイク優位性解析とは何でしょうか。
その説明には、先に前提となる『トレンド転換のシグナル』をお伝えしなければなりません。
ダウ理論では、「トレンドは転換の明白なシグナルが出るまで継続する」とされています。
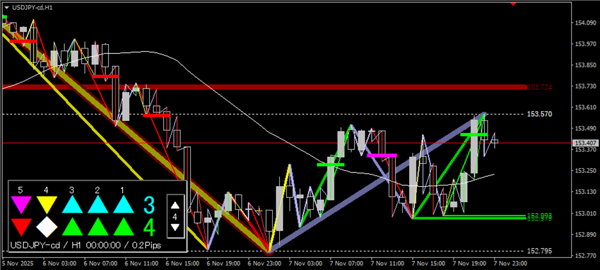
下画像を参照してください。
下図にあるFailure Swingの(S)と(B)、Non-Failure Swingの(S2)と(B2)が明確なブレイクです。
Non-Failure Swingの(S1)と(B1)は、専門家の間でも転換に含む・含まないで解釈が分かれるグレーな部分です。
(S1)と(B1)を転換に含む場合は、逆三角発生時、それが上下する度に転換と判断され「行って来い」でやられます。
(S1)と(B1)を転換に含まない場合は、高値更新後の急激な下げ、安値更新後の急激な上げ、を転換と判断しないので初動に乗れません。
ブレイク優位性解析は、全サイズのダウザグで『トレンド転換シグナル』の判定を行い、ブレイク形状に応じたポイントを付与するところから始まります。
そして、本インジケーターでは、(S1)と(B1)を転換に含む場合、含まない場合の、両方に対応しています。
スコア計算では、まず、明確な転換ブレイクに2ポイントを振っています。
(S1)と(B1)には、その半分の1ポイントを振っています。
(S1)と(B1)を含まない場合は0ポイント(判定フラット)を振っています。
(S1)と(B1)については、そのどちらかを選択、または両方を採用した上で優位性の高い方を選択することも可能です。
さて、では、実際のチャートではどういった判定として表示されるか見ていきましょう。
下画像では、区別がつきづらいですが、小さい BreakEdge(記号:━)が1ポイント、大きい BreakEdge(記号:━)が2ポイント付与されています。
世界最小ダウザグにブレイク判定を付与しています。
ブレイク判定が『転換シグナル』に沿っているのが分かりますか?
上位ダウザグにブレイク判定を付与ています。
更に上位のダウザグにブレイク判定を付与しています。
3つのダウザグのポイントを集計した状態です。
+6~-6間のスコアの変動が記号サイズで表現されています。
5つのダウザグと2種の判定による全てのスコア集計に、フィルターまで追加した状態です。
トータルスコアがプラス → 上方向ブレイク優勢(上昇優位)
トータルスコアがマイナス → 下方向ブレイク優勢(下降優位)
BreakEdge(記号:━)で、エントリー・利確・損切りに使える「境界×優位性」が刻印され、全体の向きが一目で分かります。
エグジット機能は、デフォルトでスコアが0となった時に表示される黄色のBreakEdge(記号:━)です。
ここからは流れが反転する可能性が高まりますので、ポジションを保有している場合は決済を推奨する区切りとなります。
画像では見づらいかもしれませんが、この追加された記号までは点線で結ばれ、直近に関しては対象幅をPips幅として表示いたします。
横ばいの展開では、エグジットの示すレートが同値近くとなるケースが多いので、利が乗ったら同値でのストップ注文と併用も効果的です。
スコアは、チャート左下のパネルにてご確認いただけます。
上下に別れたスコア表示は、上側が、逆三角を反転とした場合のスコア、下側が、逆三角を無視した場合のスコアです。
両方表示では縦に並びますが、片方だけの表示では1段になります。
それぞれ5つのダウザグの状態が可視化され、右側にはトータルのスコア表示がされています。
右側の白い▲▼はボタン操作可能で、チャート上のBreakEdge(記号:━)のスコア下限を変動することが可能です。
アラートは、BreakEdge(記号:━)基準で鳴る仕様となっています。
デフォルトでは、BreakEdge(記号:━)の表示後、足確定時に鳴る設定としていますが、制作者としてはリアルタイム設定が好みです。
アラート時の通知機能です。
1 ポップアップ表示
2 メール通知
3 MT4アプリへのプッシュ通知
最後までお目通しくださいまして、心より感謝申し上げます。
『ブレイクエッジPro』は、世界最小ジグザグを基底にした5階層ダウ解析と、BreakEdgeスコアによる“境界×優位性”の可視化を目的に開発しました。
トレードを行なう上でダウ理論は必須ですので、全てのトレーダー様に便利にお使いいただけるかと思います。
開発者は、高精度ライントレード補助インジケーターのパイオニアです。
長年蓄積された技術とノウハウの全てが凝縮された本インジケーターにどうぞご期待ください。
月額制はアップデート継続を前提としたものです。
今後の改良もそのまま反映されますので、引き続きご活用いただければ幸いです。
For those using GogoJungle for the first timeEasy 3 steps to use the product!
At GogoJungle, we provide services to enrich your investment life for our members. In addition, product purchases are normally limited to members. Why not register as a member now and make use of GogoJungle!




