




1.目的
・1分足だけでトレードできるようになる
2.特徴
・200本程度を表示 ・上位足、過去チャートは見ない ・慣れるとインジは使わなくなる
3.対象者
・手法がさだまらない人 ・スキャルピングをしたい人 ・トレードの精度をあげたい人
★注意★
裁量トレードです。 インジケーターやサインツール、EAで勝ちたい人にはむいていません。
インジが条件にあてはまったら機械的にトレードするというタイプではありません。 経験をつむほどトレードが上達するタイプです。
私がどのようにスキャルピングをやっているか、全部知ることができます。スキャルを裁量トレードで行いたい方にあらゆる相場で利益をとっていく方法を教えます。
難易度は「やや難しい」という人が多いです。難しすぎず、簡単すぎず、がんばればできる程度の難易度だと思います。ただし、習得には多くの時間と練習が必要です。コツコツと実践できない人は挫折しやすいのでおすすめしません。
4.思いついた経緯
今回はスキャルピングなので動画にあったような長期足のゾーンは使いません。おまけで長期足のゾーンインジはつけていますのでデイトレをしたい方は参考にしてもらっても構いません。ただし、メインは1分足のみを用いたスキャルです。一般的な上位足を見て押し目買いや戻り売りをする方法ではありませんのでご注意ください。
5.対象通貨ペア、時間足
・ドル円、GOLD、1分足 ・スプレッドが小さい通貨ペア(例)ドル円0.7以下など ・スキャルピングOKの業者
6.インジケーター
MT4およびMT5に対応しています。MT5はトレードに必要なもののみ扱っています。
メインのインジには「ゴゴジャンWEB認証」がついています。1つのMT4口座でのみ使えます。使用するMT4はゴゴジャンのダウンロードページでリセットできます。
WEB認証がついていないインジは転売防止のため使用期限があります。定期的に期限を延長します。追加料金はありません。使用できなくなった場合は再度ダウンロードページよりダウンロードし直してインジを上書きしてください。ご協力をお願いいたします。
海*業者は動くことが多いですが国内業者のMetaTraderは動かないことがあります。動く業者でお使いください。MT4終了など都合により更新できなることもあります。継続して使用できる保証はありませんのでご理解ください。
インジは必須ではありませんので、慣れるといらなくなると思います。キリ番やボリンジャーバンドはあると便利ですが、私のオリジナルインジはなくてもできるくらい上手になってほしいです。ただ逆張りのときにサブウインドウのMAのクロスを目安にするなど私よりもインジをうまく使いこなしている方もいらっしゃいますので感心するばかりです。できる限りサポートはしていきますので安心してください。
7.講座について
解説は動画で行います。インターネットがつながる環境でご覧ください。
12日間でひととおり学べるようになっています。必ず12日間で行う必要はありませんので、自分のペースで進めてください。学び終わった後は、練習や検証を引き続き行い、実践トレードへとうつっていってください。わからないことはコミュニティでご質問ください。
8.トレード方法
主に、転換時、トレンド中、逆張り、レンジ相場のトレード手法があります。初心者は転換時やトレンド中からはじめ、難易度の高い逆張りやレンジは慣れてきてからがよいと思います。
スキャルなので、逆行する前に分割決済します。確実に利益を残し、残りを伸ばします。多くは早めに決済しますが、何回かに1回は伸びるときがあります。
ローソク足200本程度の見えている範囲でしか判断しないため、左側に何もない場合は、頻度は低いですがフィボナッチをターゲットの目安に使うことがあります。
ゾーンの描き方は3ステップでルール化されていますが、相場は単純ではないため、応用的な描き方が複数あります。人によってクセも出てきます。だんだん慣れてきますので、最初は数をこなしてください。
9.コミュニティについて
わからないことはオンラインコミュニティで質問できます。初歩的なことから応用まで。私やわかる方が答えます。初心者でも安心してください。
10.FX原理原則との違い
キャンドルパワーは、FX原理原則を進化させた内容です。
一部、FX原理原則の重要ポイントを用いている部分もありますが、根本的にはまったく異なる教材です。FX原理原則を学んでいなくても実践できるように作ってあります。
主な特徴は次のとおりです。
1番の違いは、FX原理原則はデイトレードでトレードの基礎を学ぶ教材であり、キャンドルパワーはスキャルという点です。公開日はキャンドルパワーの方が新しいため、まずはキャンドルパワーを実践いただき、基本を知りたいときにFX原理原則を学ぶのがよいと思います。
11.Q&A
Q.FX原理原則とどっちがいいですか? A.スキャルピングに興味があれば間違いなくキャンドルパワーです。理由は情報が新しくサポートもあるためです。あとで基礎的な知識が必要になったらFX原理原則を学んでください。スキャルピングよりデイトレードが主体の場合はFX原理原則がよいと思います。両方あるとスキャル、デイトレ、スイングと一通り学べると思いますが、教材は必要なときに学ぶのが1番だと思います。無理せず、必要なものを検討してください。
Q.誰でも同じ結果になりますか? A.違う結果になります。理由は裁量トレードだからです。チャートの見方は人それぞれで違います。例えればスポーツと似ています。スキルアップするほどいろいろな相場に対応できるようになります。実力がつくと似たような価格でエントリーすることになりますが、まったく一緒になることはないと思います。スポーツでも上達すると似たような動きになることはあっても、その人その人のクセが出てまったく同じになることはないのと同じです。 Q.どれくらいで習得できますか? A.目安は3ヶ月から半年です。コツをつかむと早いと思いますが、モニター実践ではスキャルに慣れない方は時間がかかるか、挫折する人もいました。教材自体は1ヶ月あれば学習できると思いますが、できるようになるには最低でも3ヶ月くらいはかかると思います。早く身につけたい方にはおすすめしません。 Q.練習や検証には何が必要ですか? A.MT4が必要です。MT5でもいいですが、MT4と若干インジの表示(バーの幅など)が違うため、少し見づらいかもしれません。MT5でやっている人もいますので慣れもあるかもしれません。フォレックステスターはインジが再現できていないため、ある程度、インジなしでできるようになった後、あると便利です。メタトレーダーベースの検証ソフトを使っている方もいますが私は使っていません。基本的にはMT4またはMT5があるとよいです。 Q.トレード時間はいつがおすすめですか? A.相場が活発に動く市場が開いている時間が望ましいです。東京、欧州、NYなど。具体的には8:30~3:00などです。通常、日本人が活動している時間帯になります。その中でも相場が高値や安値を作って波形ができ値動きがあるときが良いです。市場オープン時であっても高値や安値がわからない膠着している相場は対象外です。ボラが出てきたり、レンジをブレイクしたりした後、トレードします。 Q.1時間にどれくらいチャンスがありますか? A.上達レベルによります。手堅いチャンスは1時間に数回ですが、逆張りやレンジ、トレンド中など難しい相場もできるようになると1時間に何回もチャンスがあります。ただし、上達するほど無難なチャンスしかトレードしなくなれば、数回と思っていた方がいいと思います。 Q.リスクリワード比率や勝率はどれくらいですか? A.1対1を基本としていますが、リスクリワード比率と勝率はトレードオフの関係なので、どっちよりでトレードするかで結果が変わってきます。私は勝率重視なので負けは少ないです。そのかわりリスクリワード比率は1対1をきる場合があります。狙って下まわるというよりはリスクが高めの相場では逃げることがあるためです。値幅を重視する方でもスキャルなのでリスクリワード比率が極端に大きくなることはないと思います。分割でエントリー、決済をするため悪い数値にもなりにくいと思います。 Q.スキャルだとはやすぎてついていけなさそうです。大丈夫でしょうか? A.難しいと思います。手堅いチャンスはアラートで待つトレードができるためあせることはないですが。基本的にはスキャルピングですのである程度、はやい相場に目が回らない程度の反射神経は必要です。心配ならばやらない方がいいと思います。
Q.エントリーや決済は手動ですか?EAは使えませんか? A.エントリー、決済、損切りは手動です。利益を伸ばすときや建値で切るときはあらかじめ注文を出しておくこともできます。分割エントリーで複数のポジションを持つことがありますので一括決済できるEAがあると便利です。スキャルピングは決済までがはやいこともあるため自動決済EAは用いていません。 Q.1回のトレード時間はどれくらいですか? A.数分から5~10分くらいが多いと思います。分割決済で伸ばしても1時間以内に終わることが多いと思います。分割決済をするため、途中で半分や一部決済した後は、残りのポジションを指値、逆指値でほったらかすことは可能です。 Q.デイトレードやスイングトレードにも役立ちますか? A.考え方は役立ちます。ですが、相場解説はスキャルがメインですので、考え方は間違いなくおすすめできますが、自力で検証できる必要があります。デイトレやスイング主体の場合は別の教材の方がよいかもしれません。 Q.時間足は1分足のみだそうですが上位足は見ないのですか? A.はい、見ません。1分足のみです。理由は勝率重視だからです。リスクリワード比率と勝率はトレードオフの関係のため値幅を狙うと勝率が下がります。上位足は大きくとりたいときに見ることが多いですので、上位足を見るほど勝率が下がる場合があります。そのためあえて見ず、1分足のみで勝率を高めています。ただし値幅をとりながら勝つ人もいますので、上位足を見た方が良い結果が出る人もいると思います。基本的には見なくてよくて、値幅を狙う場合は見てもよいと思います。 Q.エントリーや決済、損切りは誰でもわかりやすいものですか? A.いいえ。裁量ですので最初はわかりにくいと思います。下記の実践者の声を見ていただければ想像つくかもしれませんが、最初は難しいと思います。決まりはありますが、ゾーンを描くため、難しい相場だと書きにくいことがあります。そのため、練習問題があります。練習や検証を通じて、だんだんわかるようになります。 Q.一回で何pipsくらいとれますか? A.値幅を狙わない場合、数pipsから5pips程度です。分割決済で伸ばすことがありますので、その場合は10pips以上大きくとれることもあります。ドル円の場合です。GOLDなど値動きのある通貨だとボラに応じて利益も大きくなります。ただしトレンドにそって大きくとるような手法ではないため、pips数は期待しないほうがよいと思います。
Q.ローソク足の確定を待ってからトレードしますか? A.エントリーや決済はローソク足の確定を待ちません。動いている途中でも成行でエントリー、決済を行います。損切りは確定を待つのが基本ですが、許容損失をこえた場合は確定を待たずに損切りします。ゾーン描画は確定したローソク足をもとに描きます。中途半端な状態ではなく、ローソク足が確定することで売買の強さがはっきりとわかるからです。
Q.ドル円、GOLD以外は使えませんか? A.検証したことがないのでわかりません。理由はドル円のみでも十分トレードできており他の通貨ペアをさわる理由がないからです。もしかしたらできる通貨ペアもあるかもしれませんが、やったことがないのでなんともいえません。誰か検証してくれると助かります。基本的にはスプレッドの小さいメジャー通貨ペアをおすすめします。スキャルOKの業者でトレードしてください。 Q.インジケーターはどれくらい使いますか? A.最終的にはローソク足だけでもトレードできるようになってほしいと思います。私自身はインジを表示しているものの、あくまで参考程度です。ただ初心者などは大きな出来高の判断が難しいと思いますのでサブウインドウの買いパワーや売りパワー、メインウインドウのローソク足の連続性など目安にするとよいと思います。
Q.慣れたらインジがなくてもトレードできますか? A.はい。できます。慣れると素のローソク足だけのチャートでインジが1つもなくてもトレードできます。イメージとしては、チャートを見ただけで、どこに買いゾーンや売りゾーンがあり、どこが反発しやすい強いゾーンなのかが、瞬間的にわかるようになります。私のインジはなくてもいいのですが、ボリンジャーバンドがあると逆張りやレンジトレードが楽かもしれません。キリ番もあるとかなり役立ちます。また、インジを外した後、しばらくない状態でトレードしてから、再度、インジを表示させると。前とは違った便利さや使い方に気づくことがあります。ぜひ経験とともに、インジを表示、非表示を一定期間で繰り返してみてください。新しい発見があると思います。
Q.分析はどのように行いますか?トレンド判断やサポレジなど。 A.一般的なトレンド判断はしていません。大きな売買が入った価格帯を見てトレードをします。主なチャンスには、転換時、トレンド中、逆張り、レンジがあります。大きな出来高が発生したときにどのパターンにあてはまり、どこにゾーンを描くかが環境認識になります。上位足のトレンドを見たり長期足のサポレジ、トレンドラインなどは引いたりはしないです。高値や安値を更新しているかなど波形を見ますのでそのあたりの判断は最初、初心者は難しく感じるかもしれません。 Q.サインツールはありますか? A.一般的なサインツールはありません。自分で手動でゾーンを描きトレードします。「ゾーンが描けそうなところ」に矢印サインを出すインジは付属しますが、あくまで目安程度です。頼らない方がいいと思います。サインツールに頼るほど実力はつきにくいと思います。参考のチャート画像にも矢印サインがあるものもありますが、私自身は邪魔なのではずしてしまっているため、表示されていない画像が多いと思います。練習問題がありますので、やり方にしたがって、素のチャートで判断できる力をつけた方が長い期間、相場で戦っていける力がつくと思います。 Q.過去検証は簡単にできますか? A.はい。ゾーンをどこに描くか、そのゾーンを使ってどこでエントリー、決済、損切りするかはMT4やMT5の過去チャートで問題なくできます。検証や練習で自分で描いてみて、私や他の方の意見をききながら上達していくとよいと思います。上級者になって、反発具合などローソク足やヒゲのでき方をティック単位の細かい動きまで見たいときは過去チャートでは難しいため、フォレックステスターやティック単位の動きが見れる検証ソフトがあると便利かもしれません。ただ私は過去チャートで検証し、細かい動きはリアルタイムのデモや小ロットでのリアルトレードでも十分練習できたので。まずはMT4やMT5の過去チャートで練習してもらえば8割方OKと思ってもらってよいと思います。 Q.スマホでもできますか? A.いいえ。ゾーンを描いてトレードするため、スマホではできません。パソコンでローソク足200本程度を表示させて行うのが無難だと思います。 Q.パソコンのスペックや高速インターネット回線は必要ですか? A.トレードをするにあたって環境は良いにこしたことはないです。大事な資金を扱うためです。今回のチャートはそこまで重くないため、高スペックのPCでなくても動作します。回線も通常の光回線や高速Wi-Fiであれば問題ないと思います。ただし大きな資金を扱うほど良い環境にした方がいいのは言うまでもありません。
Q.初心者でもできますか? A.FXをまったくやったことがない初心者は難しいかもしれません。トレンドや注文の仕方など基礎知識はあった方がよいです。スキャルピングは難易度が高いため、挫折するリスクはあると思います。ただキャンドルパワーは一般常識とは真逆なことをよく行うので、変なクセがつく前にチャレンジしてみるというのも一つの手です。デイトレードの知識はスキャルの邪魔になることもあります。初心者でもやる気があれば、サポートも使いながら、実践してみてください。
Q.勉強など、あらかじめ知っておいた方がよいことはありますか? A.ダウ理論を理解していると早く身につけられると思います。知識というよりはローソク足を見て、どこが高値や安値かわかったり、トレンド判断ができたりできるとよいです。キャンドルパワーを学びはじめてからでも問題ありませんが、FX原理原則の練習編などでローソク足だけでトレンド判断ができる状態だとスムーズに実践できると思います。
Q.他の手法に応用できますか? A.はい。非常に応用がきく方法です。どんな方法にも使えるとは言えませんが、押し目買い、戻り売りをする手法であれば応用できる可能性があります。例えばゴゴジャンでスキャルピングと検索して出てくるような教材には使えるかもしれません。あくまで可能性ですので、絶対ではありません。「もう少し何かあればうまくできそうなのに」というときにキャンドルパワーの考えを取り入れることで一歩前進できる可能性はあると思います。
Q.何をやってもうまくいきません。最後の教材と信じてもいいですか? A.ごめんなさい。難しいと思います。うまくいかないときは、原因を取り除かない限り、また同じことを繰り返す可能性があると思います。結果を変えるには、教材を買うのではなく、マンツーマンで習うなど、より結果の出やすい環境へと変えるのがよいのではないでしょうか。実践のやり方自体を変えてみた方がいい場合があります。これまでと同じことをしていても、同じような結果しか出ないかもしれませんので気をつけてください。 Q.バイナリーには使えますか? A.多分、使えないと思います。ある程度、反発ポイントは絞り込めますが、時間で利確するのではなく、売買の集中している価格帯で利確します。したがって、反発がかなり早いときもあれば、遅いときもありますので、時間にしばられたバイナリーオプションでの活用は難しいのではないかと思います。 Q.サポートはありますか? A.はい。オンラインコミュニティがあります。疑問があれば私やわかる方が回答します。メッセージでも受け付けますが、時間的な余裕が少ないので、できるだけコミュニティできいてください。他の同じような疑問を持っている方とも共通理解できるので助かります。
Q.値上げはしますか? A.わかりません。申し訳ありません。不必要に値上げすることは考えていませんが、転売があったり、サポートの負担が増えたりなど必要にせまられれば値OOすることもあるかもしれません。なるべくはしたくないですが事情によっては検討することもあると思います。
Q.安くなりませんか? A.なりません。申し訳ありません。魂をけずって作っています。大人の事情で安くすることはできないので、購入できない場合はあきらめるしかないと思います。またトレードは精神状態に左右されやすいです。余剰資金ではなく余裕のない状態で行うとやってはいけない行動をしがちです。不必要に損失を拡大させることのないよう十分気をつけてください。
12.ご注意
教材やインジケーターは個人でトレードする以外に用いないでください。FX講師、投資教材、インジケーターの販売、サロンの運営など業者様の購入は禁止しています。
転売は絶対にしないでください。海賊版を購入しインジケーターをチャートにセットした時点で不正利用とみなしますので十分注意してください。
13.問合せ対応時間
私がメッセージやコミュニティの質問に対応できる時間は次のとおりです。
9:00~10:30、15:00~17:00
上記以外の時間は見れないことが多いです。早く返信が欲しい場合や手厚いサポートが欲しいときは購入されないようにお願いします。多忙につき、返信が次の日になることもあります。ご理解いただける方のみご購入ください。
コミュニティに関しては、私がいなくても、わかる方が答えてくださることもあると思います。助け合って、1人でも多く結果が出せるようなあたたかい場所になると良いと思っています。
14.参加者の声 ※随時更新します
いただいた順番になっています。詳しく知りたい方は参加者に質問されても大丈夫です。
教材は2025年2月に完成しました。まだ十分な結果が出ていないものもあります。FXは簡単に成功できる世界ではありません。「良い結果」も「悪い結果」も十分吟味した上で購入を決めてください。
実践者のチャート画像には他社のインジケーターも表示されています。本教材ではつかないものもありますのでご注意ください。
■ヒロタケ 様
裁量部分が多いので難しく感じると思います。しかし私はそれを求めていたので難しいですが苦にはなりません。
1番役立ったことは、チャートを分析するのに、インジケーターではなく出来高で判断することです。ゾーンを描くのは今だに悩みながらです。「ゾーンに反発せず逆に抜かれてしまう時のパターン(損切りする時)」を分析することを課題として取り組んでいます。
「インジケータをどのように利用したら上手くチャートが読めるのか」をずっと探求してきた感じでFXをやってきました。しかし、出来高とゾーンで相場を判断する方法を知って実践してきて、偶然でなく必然で勝てるようになってきたと思います。
今回教えていただいたキャンドルパワーの内容は、実践するたびに私が求めていた方法だと感じています。FXに限らずですが、何事もマニュアルがあり実践していくごとに自分なりの感覚を身につけていくものだと思います。インジケータ有りきの手法ではいつまでもその感覚が養われず、負けたら手法に責任転嫁してしまい自分自身の技術の向上には至りませんでした。今回は実践すればするほどインジケーターが不要になり、ロウソク足の動きだけで分析できるようになってきたと感じています(まだまだではありますが・・・)。その感覚が実感できたのがキャンドルパワーです。
チャート画像です。上昇は赤系、下降はグレー白系に設定しています。こんなに上手くいくのは稀ですが・・・笑。主にゴールドで取引しています。トレンドタイム(主にニューヨーク)は上手くいくことが多いです。昼間は勝てません。が、大負けもしないので技術向上したのかもしれません。ゴールドは昼過ぎにも大きく動くことがちょくちょくあるので、つい手を出してしまいます。今回はスキャルなので、わかっていても手が追いつかないこともよく有ります。手数をこなしてスポーツをするように自然と手が動くとより勝てそうな気がしてきています。キャンドルパワー手法は私にとってFX革命を起こせたように思えます。おおげさでなく。
こんにちは。近況報告です。最近はこんな感じで、昼も勝てるようになってきました。(3.1+9.8+6.4pips)ショートの追加です。
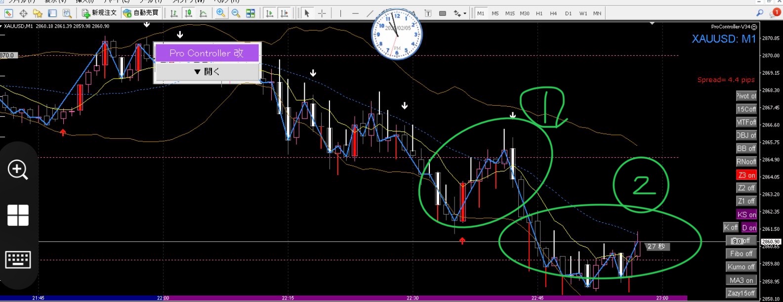
(DAI)①は見送り、②はいけそうに思ったそうなので、なぜなのかをやり取りしていたときの画像です。裁量トレードは悩む場面がたくさん出てきます。負けた場面も経験で蓄積されると、チャートを見ただけで危なそうとわかるようになってきます。経験の蓄積が結果につながっていきますね。
(DAI)みなさん、わりと好みのチャートに作り変えていらっしゃいます。もちろん、最初は教えたとおりに行ってほしいのですが、慣れてきたら自由にカスタマイズしてもらって構いません。「どんな手法にも組み合わせられる、かなり応用がきく方法」だと思います。
■さあ 様
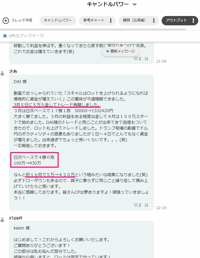
どこで分割エントリーし、どこで分割決済するかをチャートで説明していただけたことが役立ちました。出来高がすぐに変わり、ロングを狙えばいいのかショートを狙えばいいのか分からなくなることが問題です。短期間でロングもショートも狙える手法なのでポジポジ病になりやすい気がします。後は予想とは違う動きをしたら潔く損切出来るかどうかがかなり大事だなと思いました。
10月から結果が出始め、10月、12月、1月はプラス収支でした。11月は10月勝ったので調子に乗り、大きくロットを張ってしまい暴走してしまいました。反省。。。
コミュニティーがあるのはいいですね。やはりトレードは孤独なので、同じ手法を試行錯誤しながら他の人達もやってるんだなと感じられるだけで自分も頑張ろうと思えました。より多くの人が議論を交わすことになれば、もっといいアイデアも出てくるのではないかと思います。
250327追記
コミュニティで嬉しい報告がありました。
250406追記
嘘みたいな追加報告がありました。自作自演ではありません(笑)
■BlandNew 様
初めのうちは難しく感じたが、ロードマップをまとめていただいた頃から理解度が増した。現在は、簡単に思える。
引いたゾーンに戻ってエントリーできるのが、70%ぐらいある感覚です。一発目で勝てるのは40%ぐらい?やはりDAIさんのおっしゃってた通り二発、三発目では高確率で勝てる。1番役に立ったのは、ゾーンの引き方で、ゾーンのてっぺんから反発して行った時は、これを教材にしたDAIさんは本当に天才だと改めて感じる。
今でもそうだが、どうしてもインジケーターに頼ってしまう(今はKiten)やはりZ3のN字・Tick1分・Tick5分だけでゾーンを頭の中でイメージし、普段消してるグリッドを薄く残しておくとゾーンを引かなくても、値動きにもっと集中できるようになるのが課題。
今までデイトレ(短いスウィング)のみだったのですが、難しいと思っていたスキャルピングの楽しさを実体験でき本当に感謝しています。今はドル円に加えゴールドとの2チャートで見ています。私の性格的にはゴールドがあっている気がしています。今までは低ロットでしたが、2月からは2倍ぐらい上げていくつもりです。引き続きいろいろ教えてください、宜しくお願い致します。
■KM 様
今回の教材内容はドルスキャFXやFX原理原則を学んできましたので、比較的すんなりと頭に入れることができました。
よかったことは、分割エントリーをすることで、ゾーン内エントリーポイントのズレに対応できメンタルに余裕が持てること。1分足チャートで環境認識ができるので短時間の分析が可能なこと。出来高をともなう強いローソク足とサブ環境認識の考え方(注文の集中、負けている人たちの存在など)でトレードは「人」と勝負している視点を持てたことです。
大変だったことは数本のローソク足からなる極小N字の選定やゾーンの引き方(引く範囲)に少し裁量的なものを感じたことで、果たしてこれでよいのか?と漠然とした不安がありました。
先月中旬頃から、学んだことをチャートで確認しながらGOLDの少額トレード(0.01Lot)をしています。以前なら、インジケータの数値やカタチにとらわれたトレードをしていましたが、強い出来高ローソク足の左側でのもじもじ君や目立つひげなどを見て「現在進行形で青ざめている人たち」がどのくらいいそうかなと、モニターの向こうでトレードをしている人たちの存在、感情を考えるようになりました。
まだ教材の学習途中なので統計的なデータはご報告できませんが、値幅が期待でき長ヒゲのローソク足が出現しやすいGOLDは、このスキャル手法に適しているように感じました。例えば、ロンドン市場オープン後の時間帯で、レンジブレイクからイケイケ!どんどん!の上昇トレンド中に出現する陰線コマ足からのゾーンは反発しやすいようですし、狙う値幅によって欲張らない決済と分割決済を使い分けていくと良い結果が積み重ねられそうです。
【トレード内容】 ・トレードの時間帯 17:00-19:00、21:00-23:00、2:00-3:00が多いです。 ・エントリーはほぼ単発。※最終的には分割エントリーを採用します。 ・決済も分割でなく、 1.途中でローソク足の挙動不審な動きや値動きの重たさを感じたら即決済 2.利がのり始めたら反対の売買ゾーンや直近高安値、プラス損益100円前後で決済 3.近くに5ドル刻みのキリバン、Pivot(前日・前週・前月)、四本値(日足・週足・月足・年足)の抵抗線があれば、そこまで伸ばして決済 をそれぞれ使い分けました。※最終的には分割決済を採用します。プラスの損益が大きいものは3の決済方法が多いです。 ・損切りはゾーンの少し下におき、マイナス損益の大きいものはゾーン自体を広めにとったものが多いです。
(DAI)キャンドルパワーではPivot、四本値は使っていませんが、ご自身のやりやすいものが1番です。私も以前はPivot、四本値を使っていましたので、同じように使っている人には参考になりそうです。
【CP実践報告_20250212】 昨日はキャンドルパワーの本領発揮と思えるようなところがいくつかあり、プラスの損益(※添付画像参照)でトレードを終えることができました。以前であれば怖くて手が出せないポイントでエントリーができるようになったことは自分でも驚いています。
■ryo 様
お恥ずかしながらまだ実践投入前の段階です。座学として『FX原理原則』を学んだものの、MT4の扱いから苦戦するレベルの初心者なので、やること全てが大変でした。(その代わり得たものも大きいかったです)課題等をこなすための物理的な時間の捻出。(日中は会社員として仕事をしてます。働いている会社がブラック企業体質なので、残業もザラで、睡眠時間を可能な限り減らすしかなかったので、肉体的にキツイのが本音です(笑))
現状ですが、検証ソフトでの練習主体となっています。『環境認識とゾーンの描画』に対する『手ごたえ』のようなものを感じ始めています。ただ一方で、勝率の上下にムラがあり安定しなく、、、自信持ってご報告とまでは至っていません(申し訳ありません)ですので日々、量をこなしながら検証&練習しています。ちなみ1セット50~100トレードで練習&検証をしています。悪いときで58~60%前後、調子が良いときは、80%前後の勝率。現在も継続して検証していますが、現状は、トレード回数をこなすと平均で勝率は70~75%辺りに数字が落ち着く状況です(1月31日時点)
正直なところ、いまだトレードに自信を持てていませんが、DAI様さんの動画を見直して、トレードの勝率のムラについての要因について改めての気づくことがあり、そういった意味でも手ごたえを感じ始めています。上述の事情があり厳しく自己評価していたので、平均で80%~85%の勝率に安定するまでは、報告を控えておりました。また併せて合間をみながら、少しずつデモ口座を始めたところです。加えて本番に備えて、自分と相性の良いエントリー&決済用のソフトを色々と物色している最中です。(ワンクリックで一括決済できるインジは導入済)
負けた時も自分なり自己分析も考えることができるようになってきました。練習ソフトですが、勝率もあがり始めたところで、手ごたえを感じはじめております。未だ、リアルトレードで勝てるようになった訳ではありませんが、自分の成長を実感できたので、継続するモチベーションになっています。
(DAI)連敗するときがあるそうなので負けたチャート画像を送っていただいたところ、キャンドルパワーの手法と異なる部分があったため、1つ1つ改善できるようやり取りを続けています。
(DAI)結構、みなさん、細かくインジやローソク足を見て、複雑な環境認識をしがちですが。実際はチャートを見て数秒で判断できる部分を1番大事にしています。条件を複雑にするほど繰り返しトレードすることが難しくなり、安定しませんので注意が必要です。
また、連敗するときはレンジの真ん中あたりでトレードしようとしていることがよくあります。例えば上記では、青ラインのように勢いが弱くなっている相場です。赤ラインように強い相場が理想です。
購入後
マニュアルとインジケーターは次の場所からお願いします。
●ゴゴジャンマイページ → 利用する → ダウンロード商品 → 商品名をクリック
マニュアルはそのままクリックすると見れます。 インジはクリックするとダウンロードできます。
インジ名のうしろに英数字がついたWEB認証インジケーターは1商品、1つのMT4口座でのみ使用できます。別の口座で用いたい場合は同ページでリセットしてお使いください。口座番号が同じであれば複数のMT4でもご利用できます。
オンラインコミュニティについて
ゴゴジャンのマイページ「オンラインコミュニティ」の「参加可能なコミュニティ」よりご参加ください。
お問い合わせ
メッセージもしくは商品ページ内のコミュニティでご質問ください。
あなたの常識が変わりますように。
よろしくお願いいたします。
สำหรับผู้ที่ใช้บริการ GogoJungle ครั้งแรกการใช้งานสินค้าง่ายๆ แค่ 3 ขั้นตอน!
ที่ GogoJungle เรามีบริการที่จะทำให้ชีวิตการลงทุนของคุณเติบโตมากขึ้นสำหรับสมาชิกของเรา นอกจากนี้ การซื้อสินค้าจำเป็นต้องเป็นสมาชิกปกติเท่านั้น ลงทะเบียนสมาชิกเดี๋ยวนี้เพื่อใช้ GogoJungle กันเลยว่าใช่ไหม!




