GreenBoxインディケーターとは?
GreenBoxインディケーターは、ダウ理論でのトレンド転換を把握可能なインディケーターです。
(初期設定では、20SMAや25EMAなどの移動平均線にローソク足が沿いながらトレンド転換する場面で機能します。パラメーターの変更(nBars=捉えたい移動平均線の期間÷(4~5))で好みの移動平均線に沿ったトレンド転換にも適用可能です。)
下の画像1は、ドル円の4時間足にGreenBoxインディケーター(初期設定値)と25EMA移動平均線(黄色線)を挿入したチャートです。
上の画像1のチャートは、25EMA移動平均線(黄色線)に沿ったトレンド転換(下降→上昇)の場面です。移動平均線で見ると下向きの25EMAでローソク足の頭を押さえながら下落後、ローソク足が25EMAを上抜け、上向きに転じた25EMAでローソク足をサポートしながら上昇という場面です。
GreenBoxインディケーターではダウ理論でのトレンド転換を把握出来ます。
具体的には、高値・安値を●で描画し、ダウ理論のトレンドが形成されたら下降・上昇トレンドラインをリアルタイムに自動描画し、終値がトレンドラインや戻り高値を上抜けしたりターゲット(1~3)やプルバックライン(1~2)に到達したときに通知(音・アラート・メール・プッシュ通知・オブジェクト点滅)することが可能です。
GreenBoxでダウ理論での下降→上昇トレンド転換の様子を見てみると、
(1) 高値・安値の描画
初期設定では、茶色●が高値・安値で、青色●が高値更新した高値、赤色●が安値更新した安値となります。高値と安値の●はnBars(初期値=5)期間で新たに出現した高値・安値に●を自動描画します。
(2) ①下降トレンドライン描画
下の画像2→画像3のように、高値●(茶)→安値●→高値切り下げ●(茶)→安値切り下げ●(赤)でダウ理論の下降トレンドを形成したタイミングでリアルタイムに下降トレンドラインを描画します。
(注意) 下降トレンドラインは最後に生成した下降トレンドのみの描画とし古い下降トレンドラインは削除しています。最後に生成したトレンドラインでリターンムーブなどが機能する。
(3) ②上昇トレンドライン描画
上の画像3→画像4のように、安値●→高値●→安値切り上げ●(茶)→高値更新●(青)でダウ理論の上昇トレンドを形成したタイミングでリアルタイムに上昇トレンドラインを描画します。
(上のチャートでは下降トレンドラインを上抜けながら上昇トレンドを形成したことを確認できます。上昇トレンドラインも最後に描画した上昇トレンドラインのみの描画となります。)
(4) ③下降トレンドラインを終値が上抜け
必要に応じて終値がトレンドラインを上抜けたときに通知可能(音・アラート・メール・プッシュ通知・トレンドラインを点滅)です。
下図はアラート表示(GreenBoxのパラメーターでXXXAlert全てにtrueを設定)の例です。
下から4行目の『DownTrendLine Breakout.~』が終値が上昇トレンドラインを上抜けたときの通知です。
他の各種通知も下から上方向に見ていただければ、今回の下降→上昇トレンド転換時にGreenBoxインディケーターがどのような通知をするかを把握可能と思います。
( 上図のアラート通知タイミングで、音・メール・プッシュ通知・オブジェクト(ラインやBoxなど)の点滅 をさせることもパラメーターで設定可能です。)
(5) ④終値が戻り高値を上抜け
下の画像5の④で終値が戻り高値を上抜けたときに、上の画像4の灰色のBox(GrayBox)が緑色のBox(GreenBox)に変わり戻り高値を上抜けたことを把握可能です。ヒゲで上抜けただけの場合はGrayBoxのままで、このGrayBoxは未確定なBoxであり高値・安値の状況が変化すると消滅する可能性もあります。GreenBoxは確定Boxなので消滅せずにずっとチャートに残ります。
(注意) GrayBoxやGreenBoxは戻り高値以外の場所で描画することもあります。下降トレンドラインに接しているBoxの高値が戻り高値であり、下降トレンドラインに接していない高値は戻り高値ではないけれども意識が必要な高値になります。
(6) プルバックライン(1~2)に到達
戻り高値上抜け後、プルバックラインまで戻してタッチしたときにパラメーターに基づき下のような通知をします。
戻り高値上抜け後にサポートする場所は、プルバックライン(1~2)や上向きに転じた移動平均線でローソク足実体をサポートし、上向きの移動平均線を終値が下回らずにサポートしながら上昇することが基本です。
(トレードのやり方は色々ありますが、一般的には上向きに転じた移動平均線でサポートするようなタイミングで買いエントリーし、移動平均線を終値が下回り下向きになった移動平均線でローソク足の頭を押さえるような場面(ロールリバーサル)になったら撤退するのが基本でしょうか? ただし、移動平均線を下に割り頭を押さえて下げたとしてもプルバックライン(1~2)でロールリバーサルして上昇するケースもあり、そのあたりのトレード規則はトレーダー毎に工夫し甲斐のあることでしょうか?)
(注意) GreenBoxインディケーターの初期設定値ではPullback1Per=76.4%、Pullback2Per=61.8%となっていますが、Pullback1Perは100%の方がサポレジ転換(ロールリバーサル)などで有効に機能するケースが多いと思うので、今回はPullback1Perに100%を指定してアラート通知をしました。出来ればPullback1Perの初期値を76.4→100に変更したいと検討しています。
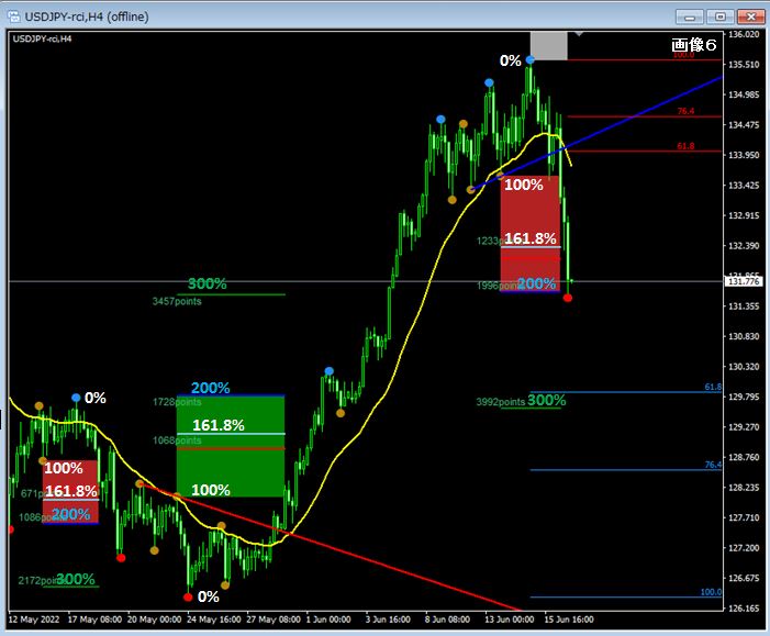
(7) ターゲット(1~3)に到達
下の画像6で示す通り、0%・100%・161.8%・200%・300%の地点を把握可能にしています。
画像6では、上昇→下降トレンド転換用のRedBoxが2つ、下降→上昇トレンド転換用のGreenBoxが1つありますが、真ん中のGreenBoxを例に各ラインを説明すると、
●300%(緑線)→ターゲット3:上位足の+1σ→+2σのバンドウォーク(ローソク足陰線確定後の陽線1~2本)を下下位足の下降→上昇トレンド転換で狙う際のターゲット
(中位足の20SMAや25EMAでのV字反転の場面に対応。下位足の-1σに沿った下降トレンド→上昇トレンド転換を、下下位足の20SMAや25EMAの下降→上昇トレンド転換で狙うイメージ)
●200%(青線)→ターゲット2:100%→0%まで押し下げた値幅と同幅上昇
●161.8%(水色線)→ターゲット1:戻り高値上抜け後、このライン付近から一旦下に戻したあと上向きに転じた移動平均線でサポートし上昇するケースや、このラインから下落するケースをイメージ
●100%(下降トレンドラインに接した高値)→戻り高値のライン
●0%(ボックスの領域の最安値)→トレンド転換失敗が確定するライン
このように、GreenBoxではダウ理論のトレンド転換する様子を把握可能です。
上の例では、25EMA(黄色線)にローソク足が沿ったトレンド転換のケースを見たのですが、実際の相場では複数の大きさの波が複雑に連携してトレンド転換しています。
参考のため、サンプルテンプレート(taro_GreenBox_3Level.tpl)に3本の移動平均線(21EMA・55EMA・144EMA)を追加したチャートの例を画像8に示します。
<各移動平均線やnBarsを求めた計算式>
短期(茶色①):nBars=5:21EMA(=5×4.236)
↓ 5×2.618=13
中期(紫色②):nBars=13:55EMA(=13×4.236)
↓ 13×2.618=34
長期(黄色③):nBars=34:144EMA(=34×4.236)
上の画像8のチャートを見ると、それぞれの短期・中期・長期の移動平均線に沿いながらそれぞれの波がトレンド転換したり、押したりする様子を確認出来ます。
上の設定値がベストだとは断言出来ませんが、様々な大きさの波をnBarsパラメーター変更によりそれぞれ把握可能でBoxが連鎖(茶→紫→黄色)する形であることも視覚的に把握可能ということは言えそうです。
是非、皆様のトレードスタイルに合うnBars値(=移動平均線の期間÷(4~5)が目安)を利用して頂ければと思います。
<GreenBoxインディケーターの主な機能一覧>
●H/Lバンド(期間=nBarsパラメーター値)に基づいて高値・安値を検出し高値・安値を●や価格で描画する機能●ダウ理論に基づいたトレンドが生成されたときにトレンドラインを描画する機能
●フィボナッチ・リトレースメントを各種モードで自動的に描画する機能
●GrayBoxやGreenBoxというStopが溜まっている場所や各種到達地点を視覚的に把握し易いBoxやラインを自動描画する機能
●H/Lバンドを描画する機能
●各種シグナルをアラート・メール・音で通知する機能 (ver.1.9で強化)
・トレンドライン生成時(リアルタイム)・ブレイクアウト時(ローソク足確定時)
・戻り高値や押し安値などを終値が抜き確定Boxが生成されたとき(ローソク足確定時)
・確定Boxのターゲットラインやプルバックラインなどにタッチしたとき(リアルタイム)
・高値・安値・高値更新・安値更新(音のみ)
以下、GreenBoxインディケーターの機能を一つ一つ順を追って説明し、実際にどのような場面で利用すると効果的なのか適用事例も紹介します。
ダウ理論を用いリアルタイムに高値・安値を分析
下図はドル円(USD/JPY)月足のローソク足のみのチャートです。
上のチャートにGreenBoxインディケーターで高値・安値を描画させると下のチャートになります。
ローソク足の期間(5本)で新たに出現した高値・安値を黒●で描画し、高値→安値→高値更新となったら青●、安値→高値→安値更新となったら赤●を描画する設定例です。
( 次の動画は、H/Lバンド(nBars=5本)にタッチしながら高値・安値の●を描画する例です。 )
(注意) GreenBoxインディケーターの●描画はH/Lバンドを用いてリアルタイムに描画する仕様です。
個人的にはこの高値・安値の●描画の仕様で問題ないと考えています。 GreenBoxとは異なる仕様の高値・安値●の描画ロジックとしてスイングハイロー(N=6本)があります。 スイングハイロー(N=6本)では左右N本のローソク足が中心の高値・安値を超えてないことが確定するまで●の描画出来ない仕様ですがリアルタイム性を重視するGreenBoxとは相性が悪くスイングハイローの仕様をGreenBoxでサポートすることは出来ません。 ( しかし、スイングハイロー(N=6本)とGreenBox(nBars=7本)の高値・安値の●位置はほとんどが同じ位置であるので、この差異が分かるように『スイングハイローの高値・安値の価格ラベルをスイングハイローの高値・安値に描画する機能』をver1.8でサポートしました。サンプル設定パラメーター(taro_GreenBox7_SwingHighLow6PriceLabel)やサンプルテンプレート(taro_GreenBox7_SwingHighLow6PriceLabel_HLBands20)を用意しましたのでご活用願います。 )期間(nBars=5本)や●マークや色などや高値・安値の価格ラベルの表示有無は下のパラメーターで自由に変更可能。期間(7本や10本)も使い易いと思います。
ダウ理論に基づいたトレンドラインを自動描画
さらにGreenBoxインディケーターでトレンドラインを描画させると下のチャートになります。
トレンドラインは、ダウ理論で上昇トレンドとみなす安値→高値→安値切り上げ→高値更新となったタイミングで上昇トレンドラインをリアルタイムに自動描画し、ダウ理論で下降トレンドとみなす高値→安値→高値切り下げ→安値更新となったタイミングでリアルタイムで下降トレンドラインを自動描画します。
古いトレンドラインは削除し常に直近の上昇トレンドライン・下降トレンドラインのみを表示します。 ダウ理論のトレンドではない箇所にトレンドラインを引く方法もありますが、このGreenBoxのダウ理論に基づいたトレンドラインを実際の相場やStrategyTesterなどのバックテストで確認して貰えばサポート・ブレイクアウト・リターンムーブなど様々な場面でかなり有効に機能していることを確認して頂けると思います。トレンドライン関連のパラメーターを下図に示します。トレンドラインが生成されたり終値がトレンドラインをブレイクアウトしたときに各種通知(Alertを表示したり・メールしたり・音を鳴らすなど)することも出来ます。
押し安値や戻り高値をブレイク後の到達予測地点をBox形式で自動描画
さらにGreenBoxインディケーターで押し安値や戻り高値などをブレイクしたあとの到達予測地点をBox形式で自動描画すると次の図になります。
( 赤色Boxに注目すると、上昇トレンドラインブレイク→押し安値(後述)ブレイク→一旦押し安値を上回り戻した後→再度安値を更新し下降トレンド確定→下降トレンドを継続させ→目標到達地点(300%地点)到達→下降トレンドラインブレイク→という値動きであることを確認出来ます。 ) (注意)pips数以外の文字は説明用に追記したものでGreenBoxインディケーターで表示したものではありません。実際の表示のサンプルはYouTube動画でご確認願います。
赤●出現時(安値→高値→安値更新)に高値の箇所に赤●と高値の幅の灰色Box(GrayBox)を自動描画します。
灰色Boxと下降トレンドラインが重なる箇所はダウ理論で『戻り高値』という重要な高値になります。 (注意:灰色Boxと下降トレンドラインが重ならない高値は戻り高値ではありません。)ダウ理論的には下降トレンドが継続するにはこの『戻り高値』を上抜けてはダメなので『戻り高値』は重要な高値となります。 この灰色Boxの『戻り高値(戻り高値でないケースもある)』を終値が上抜けたときに灰色Boxの色を変え緑色Box(GreenBox)で表示し下降トレンドが崩れ上昇トレンドに転換する可能性があることを視覚的に直感的にトレーダーに伝えるようにしています。 一度確定した緑色Boxは削除せずに残ります。
灰色Boxは新しい赤●出現時に古い赤●対応の灰色Boxは削除します。 灰色Boxは未確定のグレイなBoxを表現しています。 (実際に上昇トレンドが確定するのは、緑色Boxだけでなく青●が出現しダウ理論の上昇トレンドが確定したタイミングとなります。)
『戻り高値』にはトレイリングストップなどで切り下げてきた売りポジションのStopが置かれていることが多く、『戻り高値』から赤●まで押し下げた値幅と同幅上昇した場合の値幅が直感的に把握しやすいように緑色Boxの上辺(青色横線)の(フィボナッチリトレースメントの200%)を描画しています。 水色横線の161.8%地点も有効に機能することが多いと感じています。 緑色横線の300%地点も2~3レベルほど上位足の+1σ付近が終値となるローソク足陰線形成後の+1σ→+2σのバンドウォークの上げで有効に機能することが多いと感じています。 同様に、青●出現時(高値→安値→高値更新)に安値の箇所に青●と安値の幅の灰色Boxを自動描画します。 灰色Boxと上昇トレンドラインが重なる箇所はダウ理論で『押し安値』という重要な高値になります。 (注意:灰色Boxと上昇トレンドラインが重ならないケースは押し安値ではありません。) ダウ理論的には上昇トレンドが継続するにはこの『押し安値』を下抜けてはダメなので『押し安値』は重要な高値となります。 この灰色Boxの『押し安値(押し安値でないケースもある)』を終値が下抜けたときに灰色Boxの色を変え赤色Boxで表示し上昇トレンドが崩れ下降トレンドに転換する可能性があることを視覚的に直感的にトレーダーに伝えるようにしています。 一度確定した赤色Boxは削除せずに残ります。
灰色Boxは新しい青●出現時に古い青●対応の灰色Boxは削除します。
灰色Boxは未確定のグレイなBoxを表現しています。
(実際に下降トレンドが確定するのは、赤色Boxだけでなく赤●が出現しダウ理論の下降トレンドが確定したタイミングとなります。)
『押し安値』にはトレイリングストップなどで切り上げてきた買いポジションのStopが置かれていることが多く、『押し安値』から青●まで押し上げた値幅と同幅上昇した場合の値幅が直感的に把握しやすいように赤色Boxの下辺(青色横線)の(フィボナッチリトレースメントの200%)を描画しています。 水色横線の161.8%地点も有効に機能することが多いと感じています。 緑色横線の300%地点も2~3レベルほど上位足-1σ付近が終値となるローソク足陽線形成後の-1σ→-2σのバンドウォークの下げで有効に機能することが多いと感じています。
Box関連の共通パラメーターを下図に示します。
赤●に対応するBoxのみを表示したり、灰色Boxを非表示にしたり、目標到達地点161.8%、200%、300%の%を変更したり、Boxの高さの%を変えたり、戻り高値や押し安値からの目標到達地点までのpoints数を非表示にすることも出来ます。
共通設定パラメーター
トレンドライン設定パラメーター
GreenBox共通設定パラメーター
GreenBox(アラート・プッシュ通知・メール・音)設定パラメーター
GreenBox(Buy買い用)設定パラメーター
GreenBox(Sell売り用)設定パラメーター
フィボナッチ・リトレースメントを自動描画
GreenBoxインディケーターではトレンド転換用2種類とトレンドフォロー用1種類の計3種類のモードのフィボナッチ・リトレースメントも自動描画することが出来ます。
パラメーター(BuyFiboModeやSellFiboMode)に上記のモードを指定することで、表示したフィボナッチ・リトレースメントを描画することが出来ます。( 初期値はLastFixedBoxです。 )
GreenBoxモード以外のGreenBoxのフィボナッチ・リトレースメント表示については下記YouTube動画に纏めましたのでご覧ください。
(注意) YouYube動画で使用しているEAはフィボナッチ・リトレースメント解説動画作成用に特別に作成したEAでGreenBoxに付属しないのでご注意願います。
Strategy Tester を用いたサンプル動画
<表示画面例1 StrategyTesterのビジュアルモードで本インディケーターを表示したサンプル動画です>
下に列挙した点に注目して、自分だったら何処でエントリーして何処で決済するか思い浮かべながら動画を観て貰えば、ライントレーダー・スキャルトレーダー・デイトレーダー・スイングトレーダーなどどのようなタイプのトレーダーでもこのインディケーターを活用出来る場面を思い浮かべることが出来ると思います。
●時間経過とともに高値・安値に茶色●が付く様子や、●が更新される様子や、高値更新・安値更新時に青●赤●を描画する様子を確認出来ます。
(●や○のArrowCodeや色などはインディケーターのパラメーターで変更可能です。)
(サポート・ラインブレイク・リターンムーブなど) ●ダウ理論のトレンドがどのような順で転換して行くのかをローソク足が動いている状態でリアルタイムに観察すると新たな発見があると思います。
(下降トレンドラインを上抜け→買い用のBox(下辺が戻り高値になっている)を打診→リターンムーブ→買い用のBoxを上抜け→押し安値を作り上昇トレンドを形成→など) ●押し安値や戻り高値などにBoxがリアルタイムに描画され、ブレイク後の値幅(161.8%、200%、300%など)を事前に把握可能なことを確認出来ます。
(161.8%などの%はインディケーターのパラメーターで変更可能です。) ●GrayBoxにヒゲではなくて終値が入るとGreenBoxや赤色Boxに色が変わりBoxの上辺(200%地点)に到達することが多いことを確認出来ます。 (上位足のバンドウォークに乗ってトレンド方向に進む場合は300%地点やそれ以上の場合もあります。トレンドと逆行したりもみ合いの場合は161.8%地点にも到達しないこともあります。個人的には上位足のバンドウォークの局面で3つほど下位足でGreenBoxで300%地点を狙うトレードが好きです。) ●自分がいつも使うインディケーターやライン分析などとGreenBoxを組み合わせると相乗効果でより効果的なトレードが出来るケースはあるかを想像しながら動画を見るのも効果的だと思います。
<表示画面例2 下降トレンドラインと戻り高値を上抜け後上昇トレンドラインに乗り上昇したときのチャート画面>
①下降トレンドラインを上抜け
②GreenBoxの戻り高値=③買いBoxのEntryライン(drawBuyEntryLine=trueで表示可能)を上抜け
⑤押し安値=⑥売りBoxのEntryライン(drawSellEntryLine=trueで表示可能)を形成し、
⑦上昇トレンドラインも形成
( ⑥は買いポジションを持っている人のStop(S/L)ラインとしても利用されるラインです。 )
<表示画面例3 期間(5,13,34)の3つ表示でGreenBoxが三連鎖したチャート画面>
テンプレートファイル(templates\taro_GreenBox_3Level.tpl)を開き茶(5)・紫(13)・黄色(34)の3つのGreenBoxインディケーターをチャートに描画したとき、上図のようにBoxが連鎖して綺麗に下落することがあります。
下の画像8は、ドル円(4時間足)でBoxが連鎖して上昇した場面ですが、テンプレートに加えて3本の移動平均線(21EMA・55EMA・144EMA)を追加して表示したものです。
<各移動平均線やnBarsを求めた計算式>
短期(茶色①):nBars=5:21EMA(=5×4.236)
↓ 5×2.618=13
中期(紫色②):nBars=13:55EMA(=13×4.236)
↓ 13×2.618=34
長期(黄色③):nBars=34:144EMA(=34×4.236)
( それぞれの短期・中期・長期の移動平均線に沿いながらそれぞれの波がトレンド転換したり、押したりする様子を確認出来ます。 )
<表示画面例4 高値と安値を交互に更新するトレーダー泣かせの値動きのチャート画面>
高値と安値を交互に更新する値動きはトレンドフォロータイプのトレーダー泣かせの値動きだと思います。
<表示画面例5 H/Lバンド(20)とGreenBoxを組み合わせたサンプルテンプレートの表示例>
テンプレートファイル(templates\taro_GreenBox5_HLBands20.tpl)を開くと、H/Lバンド(nBars=20)とGreenBox(nBars=5)を組み合わせたサンプルチャートを開くことが出来ます。
GreenBoxはH/Lバンドと相性がよく、トレンドが続きStopが溜まったH/Lバンド(20)のラインをGreenBoxのBoxと同時にブレイクする形や、上位のトレンドにGreenBox(nBars=5)でトレンドフォローで追いかけながらトレードするなど色々活用出来ると思います。
フィボナッチ・リトレースメントのモードやその他様々なパラメーターは自由に変更して活用して頂けたら嬉しいです。
( 例えばH/Lバンド(20)の高値・安値の価格ラベルを大きさ2で描画すると便利かも知れません。 )
≪GreenBoxの初期パラメーターと異なる設定箇所≫
(1) 1つ目のGreenBox drawHLBands = true
drawBoxText = false (Boxのpips数を非表示)
BuyFiboMode = LastFixed_and_TrendFollow (初期値はLastFixed。自由に変更してOK)
SellFiboMode = LastFixed_and_TrendFollow
(2) 2つ目のGreenBox nBars = 20
drawTopBottomEdge = true (○を非表示にしたい場合はfalseを指定)
TopBottomEdgeWidth = 2 (○の大きさを(1)よりも大きくする設定です)
TopEdgeArrowCode = 161 (Wingdingsフォントでの○のArrowCode値=161)
BlueTopEdgeArrowCode = 161
BottomEdgeArrowCode = 161
RedBottomEdgeArrowCode = 161
drawHLBands = true (H/Lバンド(20)を描画)
UpperBandColor = Black (白背景はBlack、黒背景はWhiteがお勧め)
LowerBandColor = Black
BandWidth = 2 (線の太さを太くする)
drawUpTrendLine = false (トレンドラインを表示しない。線を太くして描画するのもお勧め)
drawDownTrendLine = false
enableBuyEntryInfo = false (Boxを表示しない設定。Box色を(1)より薄くして描画するのもお勧め)
enableSellEntryInfo = false
(3) チャートのプロパティ (好みに応じて自由に変更してください)
基本配色 = Black On White
チャートを前面に表示 = OFF (ローソク足を●の前に表示する場合ON。●の後ろに表示する場合はOFFを指定。)
チャートの右端移動 = ON (フィボナッチ・リトレースメントの数値が見やすいようにONにしました)
ローソク足 = ON
4本値表示 = OFF
グリッドの表示 = OFF
同様に、テンプレートファイル(templates\taro_GreenBox7_SwingHighLow6PriceLabel_HLBands20.tpl)を開くと、H/Lバンド(nBars=20)とGreenBox(nBars=7)を組み合わせたサンプルチャートを開くことが出来ます。
高値・安値の●はGreenBox(nBars=7)の仕様で描画し、価格ラベルのみスイングハイロー(N=6)の高値・安値の価格を描画する設定です。
(こちらも自由にパラメーターを変更して活用して頂けると嬉しです。)
≪GreenBoxの初期パラメーターと異なる設定箇所≫
(1) 1つ目のGreenBox
nBars = 7 (スイングハイロー(N=6)の価格ラベルを表示するにはN+1の値を設定)
TopBottomEdgePriceLabelMode = Check_BothSide_nBars (中心を含めて左右N本のバーをチェック)
PriceLabelWidth = 0 (最少の大きさのラベルを表示。見辛くしないため)
TopEdgePriceLabel = Right_sided_price_label (価格ラベルをスイングハイローの高値・安値の右側に表示)
BottomEdgePriceLabel = Right_sided_price_label
drawHLBands = true
drawBoxText = false (Boxのpips数を非表示)
BuyFiboMode = LastFixed_and_TrendFollow (初期値はLastFixed。自由に変更してOK)
SellFiboMode = LastFixed_and_TrendFollow
(2) 2つ目のGreenBox
H/Lバンド(20)とGreenBoxを組み合わせたサンプルテンプレートの2つ目のGreenBoxの設定値と同じ
(3) チャートのプロパティ (好みに応じて自由に変更してください) H/Lバンド(20)とGreenBoxを組み合わせたサンプルテンプレートの2つ目のGreenBoxの設定値と同じ
<上位足の下降バンドウォークに乗り下位足のGreenBoxの300%地点まで狙えるチャートパターンの紹介>
GreenBoxを効果的に活かす場面の一つとして、上位足のバンドウォークに乗り下位足でGreenBoxを使い300%地点付近まで狙えるチャートパターンを活用する方法があります。
(上位~下位は、月足・週足・日足・4時間足・1時間足・15分足・5分足・1分足を想定しています。) 下図は、ドル円(USD/JPY)の15分足の下降バンドウォークの-1σへローソク足陽線確定後に、1分足でGreenBoxを使い300%地点まで狙う例です。上位足の15分足では陽線の後の陰線1~2本の値動きなのに、下位足の1分足では300%地点に到達する値幅を得られる局面であることが図から分かると思います。 <具体的な手順> ①上位足(例15分足)で下降バンドウォークの上側(-1σ)へローソク足が陽線を確定するのを待ちます。 (上昇から下降トレンドに転換した直後や下向きの値動きが継続する場面での-1σへの陽線が望ましいです。バンドウォークを観察すると終値線が1σと2σの間を波打つケースが多く終値線が波打つためには終値が1σ付近で確定する必要があると考えました。実際に終値が確定するのを待ってから行動するとダマシに遭う頻度が減り時間も有効に使えると実感しています。) ②中位足(例5分足)は20SMA付近でローソク足を押さえ、
③ストキャスティクスが逆V字反転する形になることを確認します。
(RCIを使うならRCI(9)が逆V字反転する形になります)
④下位足(例1分足)は一旦上昇トレンドを作り、+1σの外に高値を持つGrayBoxを形成後、
(+1σの上でバンドウォーク形成後のトレンド転換がベスト)
⑤上昇トレンドラインと押し安値(Boxの左上)を割りRedBoxに変わったあと、下降トレンドを形成し300%地点付近まで下落するのが基本です。
(GrayBoxが間延びしていたり、押し安値を下抜け出来ない場合は見送ります。
下位足のGreenBox(5)でGrayBoxが表示出来ない場合は、もう一つ下の足でGreenBox(nBars=10)を使うと良いかも知れません。)
何処でエントリーして何処まで伸ばすかはトレーダーの工夫のし甲斐のある場面でありトレーダーの個性で違ってくる(例えば1分足の高値でエントリーする人もいる)と思うのでここでは書きませんが、どちらにしてもGreenBoxを表示しておくと視覚的にも強い味方になると思います。
<参考>
上位足のバンドウォークの+1σや5MAを基点とした下位足で300%地点まで狙う取引を 一週間『5/24(月)~5/29(土)』のドル円(USD/JPY)でリアルタイムに追い纏めた資料を作りましたので参考にしてください。 ( GreenBoxインディケーターに注目しながら下記1週間分の記事を見ると基点に対してどの時間足でGreenBoxを使うと効果的か見えてくると思います。 )Blogの記事 → 5/24(月)~5/29(土)のドル円戦略とその後の経過
<アラート・プッシュ通知・メール・音での通知機能>
ver.1.9でアラート・メール・音での通知機能を強化し、次の表のように通知が出来るようになりました。
(注意)ver.1.9 でBox確定時のアラート通知に含めていた各ターゲットの価格情報は含めないようにしました。
理由は通知の横並びとメール本文には情報が含まれ、アラート通知は画面で見てわかると考えたからです。
ver. 1.10でプッシュ通知機能(スマートフォンのMetaTrader4に通知を送る機能)をサポートしました。
通知内容はアラート通知と同じ内容です。
アラートの表示例は次の通りです。
メールでの通知例は次の通りです。
(自宅外で相場の状況を受け取るときなど活用出来ると思います。)
音での通知の例として、サンプルテンプレート(taro_GreenBox5_Sample_SoundON_GreenBoxMode.tpl)を用意しました。
(各通知タイミングで鳴らす音(WAVファイル)を工夫してリアルタイムに相場を解析して音声で喋る(音声解説する)ようにしました。 ) サンプルテンプレートでは次のサンプル音声ファイルを使い、各通知のタイミングで音声を鳴らしています。音声WAVファイルは、MetaTrader4インストールディレクトリのSoundsフォルダ内にtaroフォルダ毎コピーする必要があります。
FX業者などにより違いますが、例えば、C:\Program Files (x86)\MetaTrader 4\Sounds\taro\xxx.wav となるようにコピーして頂くとサンプルテンプレート内で指定したWAVファイルの音(音声)が鳴るようになります。
今回の例ではFixedBox確定後のPullback1/2ライン付近でのサポレジ転換でエントリーし、Target1/2/3付近で決済するトレーダーをイメージしたサンプルを作成しましたが、この戦略はあくまでもサンプルですので、皆様のトレード戦略に基づいて各通知タイミングや、音声ファイルなどを工夫して作成してみると面白いと思います。
サンプルテンプレートを読み込んだ後、GreenBoxパラメーターの音声ファイルや通知項目などを変更後[保存]ボタンで自分オリジナルの設定ファイルとして保存しておくといつでもその設定を読み込み使えるので便利だと思います。
次のYouTube動画はドル円(USD/JPY)の1時間足の2月~3/13週末の期間をこのサンプルテンプレートファイルで動かした場合の動画です。
(参考) この動画用のサンプルテンプレートではフィボナッチ・リトレースメントの数値(76.4/61.8/161.8/200.0/300.0)を描画していますが、GreenBoxのパラメーターのBuyFiboLevel2~6textとSellFiboLevel2~6textに次の文字列(Pullback1/Pullback2/Target1/Target2/Target3)を入力し、SellFiboLevelPostfiTextに半角空白を20個ほど設定すると音声とも一致し視覚的にも直感的で分かり易くなると思います。
(押し目買い1/押し目買い2/利益確定1/利益確定2/利益確定3や戻り売り1/戻り売り2/利益確定1/利益確定2/利益確定3を設定しても分かり易いと思います。)(注意)音通知とアラート通知を同時に使用するとアラート通知の音で音通知のWAVファイルの音が消されてしまいます。例えば[ツール]-[オプション]-[音声設定]で[有効にする]のチェックを外しアラートなどの音をならないようにするとアラートのメッセージ文と音通知の音を同時に受け取ることが出来ます。
アラート通知の代わりにver.1.10でサポートしたプッシュ通知を使う方法でも音の問題を解決出来ます。
サンプル音声実況音声ファイル2の提供 (2021/03/27)
ver.1.9で提供したチャートをリアルタイムにダウ理論・フィボナッチ・リトレースメント・トレンドラインなどで自動分析しながら音声実況解説するサンプルテンプレートと音声ファイルを改善(より直感的に分かり易いチャートと音声ファイルにしました)し、本製品ZIPファイル内の『おまけ』→『GreenBox日本語音声サンプル2.zip』から音声ファイルと設定ファイルを利用できます。
( 利用方法は、『GreenBox日本語音声サンプル2.zip』内の『readme.txt』を参照願います。 ) 次のYouTube動画はドル円(USD/JPY)の3/22~3/27週末の期間の音声解説例です。 RCI3インディケーターも参考に表示していますが、この動画ではGreenBox目線の解説をしています。RCI3目線とGreenBox目線は全く別物なので、興味のある方はRCI3のページもご覧頂くと面白いと思います。
<Fibonacci Retracementの表示例>
2020/12/11時点のドル円(日足)チャートですが、GreenBox(5)でFibonacci Retracementを表示(drawBuyFibo=true、drawSellFibo=true、BuyFiboMode=LastFixedBox、SellFiboMode=LastFixedBox)すると、赤Boxの下げの流れで見ると高値からの下げに対しての76.4%戻し付近でローソク足実体を押さえており、緑Boxの上げの流れで見ると安値からの上げに対しての76.4%戻し付近でサポートしており、上げ下げの攻防中であることを確認出来ます。
ver 1.7で上記のトレンド転換用のフィボナッチ・リトレースメント描画モード(LastFixedBox)に加え、トレンドフォロー用のフィボナッチ・リトレースメント描画モード(TrendFollow)と、その混在をサポートしています。トレンドフォロー用のフィボナッチ・リトレースメントの描画例は次の動画の通りです。
フィボナッチ・リトレースメントの23.6%~76.4%戻し付近でサポートし安値を切り上げ、高値更新してトレンド継続するたびに新しいトレンドラインとトレンド継続で生成された押し安値を基準としたフィボナッチ・リトレースメントを自動描画し、強いトレンドが出ているときにトレーダーの押し安値でのエントリーをサポート可能な様子を確認頂けると思います。
GreenBoxサンプルパラメーター
<パラメーター(読み込み画面)>
GreenBoxインディケーターのパラメーター設定画面で、[読み込み]ボタンを押して読み込めるサンプルの設定を5つ用意しました。
5つの設定画面を列挙します。( なお、お客様で良く使うパラメーターが完成したら[保存]ボタンで保存しておくと次回以降で再利用出来て便利です。 )
<サンプル設定( 何も表示しない設定例 )>
『taro_GreenBox5_何も表示しない設定.set』を読み込むと、何も表示しない(●もトレンドラインもBoxも表示されない)状態になります。
GreenBoxインディケーターのトレンドラインはダウ理論に基づいて引いているので、一見間違っているように感じるかも知れませんがローソクの絡み方を見て頂けば分かるようにかなり有効に機能しますので、トレンドラインのみを使うトレーダーにもGreenBoxインディケーターは有効だと思います。
そして、カスタマイズした自分用の設定ファイルに名前を付けて保存しておけばさらに今後の作業が楽になります。
<サンプル設定( スイングハイロー(N=6)の価格ラベルを表示する設定例 )>
『taro_GreenBox7_SwingHighLow6PriceLabel.set』を読み込むとスイングハイロー(N=6)の高値・安値の位置に価格ラベルを描画する設定にすることが出来ます。
スイングハイロー(N=6本)とGreenBox(nBars=7本)の高値・安値の●位置はほとんどが同じ位置であるので、この差異が分かるように『スイングハイローの高値・安値の価格ラベルをスイングハイローの高値・安値に描画する』というサンプル設定ファイルをご用意致しました。
≪GreenBoxの初期パラメーターと異なる設定箇所≫
nBars = 7 (スイングハイロー(N=6)の価格ラベルを表示するには+1した値を設定)
TopBottomEdgePriceLabelMode = Check_BothSide_nBars
PriceLabelWidth = 0 (最少の大きさのラベルを表示。見辛くしないため)
TopEdgePriceLabel = Right_sided_price_label (価格ラベルをスイングハイローの右側に表示)
BottomEdgePriceLabel = Right_sided_price_label
drawBoxText = false (Boxのpips数を非表示)
BuyFiboMode = LastFixed_and_TrendFollow (初期値はLastFixed。自由に変更してOK)
SellFiboMode = LastFixed_and_TrendFollow
<サンプル設定( 黒色背景用(トレンドラインなど描画))>
この設定ファイルを使用せずにGreenBoxの初期パラメーターでそのまま利用してもトレンドラインなどは自動描画されます。
( この設定ファイルは、ver. 1.1の互換性のために残しており、このサンプル設定を使わずに初期設定で利用して頂いて問題ありません。 )
<サンプル設定( 黒色背景用(シンプル))>
<サンプル設定( 白色背景用(トレンドラインなど描画))>
この設定ファイルを使用せずにGreenBoxの初期パラメーターでそのまま利用してもトレンドラインなどは自動描画されます。
( この設定ファイルは、ver. 1.1の互換性のために残しており、このサンプル設定を使わずに初期設定で利用して頂いて問題ありません。 )
<サンプル設定( 白色背景用(シンプル))>
<バージョンアップ>
GogoJungle1.4 (2020/09/18)
(1) フィボナッチ・リトレースメント表示機能を追加しました。
GreenBoxが生成されたときに安値を起点としたフィボナッチ・リトレースメントを描画し、その後は高値更新時に自動的に再描画し、安値を下回ったときにフィボナッチ・リトレースメントを削除します。これにより押し目買いの水準がより把握しやすくなりました。
非表示にする場合はdrawBuyFiboとdrawSellFiboにfalseを設定すれば非表示になります。
好みの設定はパラメーター設定画面で[保存]すれば、次回以降も同じ設定を[読み込み]で利用出来て便利です。 ( RedBoxも同様です。 )
https://youtu.be/MKJpEKbBsy0 のYouTube動画の後半をご覧頂ければ、USD/JPYの4時間足がトレンド転換して下落するときにフィボナッチ・リトレースメントの76.4%戻しや61.8%戻しが機能している様子が確認出来ると思います。 (2) ShortNameパラメーターを追加しました。
(通常は変更不要ですがトレンドラインなどのオブジェクト名の先頭に付与する文字列を指定出来ます。空欄は自動生成します。) (3) パラメーターのデフォルト値を変更
(○を用いず●に統一し黒色画面でも見やすいように色を変更)しました。
好みの設定はパラメーター設定画面で[保存]していただき、次回以降[読み込み]機能で読み込むことが出来ます。)
(4) その他軽微な不具合の修正
GogoJungle1.5 (2020/10/25)
(1) トレンドラインを終値がBreakoutしたときに通知(アラート、メール、音)する機能を追加しました。
≪通知タイミング>トレンドラインを引いた後に終値がトレンドラインを初めて超えて確定したタイミングで通知(アラートなど)
≪追加したパラメーター≫
TrendLineBreakoutAlert → アラートを表示する (初期値:表示しない)
TrendLineBreakoutSendMail → メールを送信する (初期値:送信しない)
UpTrendLineBreakoutSound → 上昇トレンドラインを下抜けたときに鳴らすサウンドファイル名(初期値:空欄=鳴らさない)
DownTrendLineBreakoutSound → 下降トレンドラインを下抜けたときに鳴らすサウンドファイル名(初期値:空欄=鳴らさない)
GogoJungle1.6 (2020/12/11)
(1) 最新の確定済Boxのみ表示し古い確定済Boxを非表示にする機能を追加しました。
(deleteOldFixedBoxにtrueを指定すると有効になります。初期値はfalseです。) (2) パラメーター設定欄に区切り(===== 説明 =====)を追記し、パラメーターの位置を適切なグループの位置に配置し直しました。 (3) GrayBoxの200%地点を超えて終値が確定したときに既に目標地点に到達済のためにトレード不要と判断して確定済Boxとして扱わない動作となっていましたが、200%地点を超えて終値が確定した場合でも確定済Boxとして扱うように仕様を変更しました。GogoJungle1.7 (2021/01/04)
(1) フィボナッチ・リトレースメント描画のモードにトレンドフォローモードを追加。
従来はトレンド転換用のフィボナッチ・リトレースメントのみ描画していましたが、トレンドフォロー用のフィボナッチ・リトレースメントも描画出来るように機能追加しました。新設したBuyFiboModeやSellFiboModeパラメーターに次のモードを指定出来ます。
None: フィボナッチ・リトレースメントを表示しない。
LastFixedBox: トレンド転換用(初期値。ver 1.4~1.6のモード。直近の確定済Boxの高値や安値が起点)
TrendFollow: トレンドフォロー用(ver 1.7新機能。押し安値や戻り高値が起点)
LastFixedBox_and_TrendFollow: 上2つの混在。TrendFollowが優先。
(詳細はフィボナッチ・リトレースメントの解説動画をご覧ください。 )
(2)時間が飛んだ時に●の表示が乱れる不具合を修正。
(3)EA用にフィボナッチ3の無色のトレンドライン(_trendline3)を埋めこみました。
GogoJungle1.8 (2021/01/10)
(1) H/Lバンド(High Lowバンド)描画機能のサポート
高値・安値●の描画タイミングの把握やH/Lバンドをトレードで活用して頂けるように機能追加しました。≪追加したパラメーター≫
drawHLBands → H/Lバンド(nBars本)表示有無 (初期値:表示しない)
UpperBandColor → Highバンド(高値バンド)の色
LowerBandColor → Lowerバンド(安値バンド)の色
BandWidth → バンド線の太さ(初期値:1)
Bandstyle → バンド線のスタイル(初期値:Solid)
(2) 高値・安値の価格ラベル表示機能のサポート
単純に高値・安値●の価格を価格ラベルで表示する機能と、スイングハイロー(N本)の高値・安値の位置に価格ラベルを表示する機能の2つをサポートしました。
TopBottomEdgePriceLabelMode
→ Check_LeftSide_nBars(初期値):単純に高値・安値●の価格を価格ラベル表示する
(通常は何も変更せずにこちらを選択してください)
→Check_BothSide_nBars:中心を含めた左右nBars本の中の高値や安値位置に価格ラベルを表示する。
(スイングハイロー(N=6)ならnBars=7を指定すれば良い)
TopEdgePriceLabel → 高値の価格ラベル表示
→ Non_price_label 表示しない(初期値)
→ Left_sided_price_label 左側に価格ラベルを表示する
→ Right_sided_price_label 右側に価格ラベルを表示する
TopEdgePriceColor → 高値の価格ラベルの色
BlueTopEdgePriceColor → 高値更新した高値の価格ラベルの色
BottomEdgePriceLabel → 安値の価格ラベル表示(TopEdgePriceLabelと同様)
BottomEdgePriceColor → 安値の価格ラベルの色
RedBottomEdgePriceColor → 安値更新した安値の価格ラベルの色 (3) H/Lバンド(20)を活用したサンプル定型チャートの提供
GreenBoxはH/Lバンドと相性が良いのでサンプルとしてH/Lバンド(20)を利用した定型チャートを提供いたします。
フィボナッチ・リトレースメントの動作や色や期間やトレンドライン描画有無など様々なパラメーターを自由に使い易いように変えて活用して頂けたら嬉しいです。
template\taro_GreenBox5_HLBands20.tpl
→ 通常のGreenBox(期間5)とH/Lバンド(20)を組み合わせたサンプル定型チャート
template\taro_GreenBox7_SwingHighLow6PriceLabel_HLBands20.tpl
→ GreenBox(期間7)とスイングハイロー(N=6)の価格ラベルとH/Lバンド(20)を組み合わせたサンプル定型チャート (4) スイングハイロー(N=6)の価格ラベル表示に対応するGreenBox設定パラメーターファイルの提供
スイングハイロー(N=6)を利用されている方のために、GreenBoxのパラメーター設定画面で下のファイルを読み込むとスイングハイロー(N=6)の価格ラベル表示する設定になるようにしました。
高値・安値の●は今までのGreenBoxの仕様で表示し、価格ラベルの表示有無で差異を確認して頂く形ですのでご注意願います。 MQL4\Preset\taro_GreenBox7_SwingHighLow6PriceLabel_HLBands20.set
(5) 既存ファイルの訂正 (それぞれフィボナッチ・リトレースメント表示を削除)
template\taro_GreenBox_3Level.tpl : トレンドラインの線の太さをレベルに応じて変更し、
フィボナッチ・リトレースメントの表示と縮小表示をやめズームの倍率を1段階大きくした
MQL4\Preset\taro_GreenBox5_xxx.set :フィボナッチ・リトレースメントの表示を削除
GogoJungle1.9 (2021/03/13)
(1) フィボナッチ・リトレースメントのモードにGreenBoxモードを追加しました。
(詳細はフィボナッチ・リトレースメントの説明欄を参照してください。)(2) FixedBox生成時に、Target1~3に加え、Pullback1、Pullback2、Stopラインもオプションで描画可能にしました。
(3) アラート・メール・音での通知機能を改善しました。
(トレンドライン生成時、FixedBoxの各ラインタッチ時の通知を追加サポートなど)
(注意)通知メッセージを横並びにするためにFixedBoxが生成されたときのアラート通知に各ターゲットラインの数値を含めないように仕様を変更しましたのでご注意願います。 (4) チャートをリアルタイムで分析しながら音声解説するサンプルテンプレートを提供しました。 (5) フィボナッチ・リトレースメントの%値表示で%$などの指定で価格表示をしたりインデント調整出来るようにしました。
(6) GreenBoxインディケーターで作成するオブジェクトを『表示中のライン等リスト』で表示しないようにしてユーザーが作成したオブジェクトが一覧内で埋もれないようにしました。
(7) ローソク足確定カウントダウン用のインディケーターをおまけでZIPファイルに含めました。
GogoJungle1.10 (2021/04/23)
(1) プッシュ通知機能をサポートしました。
[ツール]-[オプション]-[通知機能]で[レ]プッシュ通知機能を有効にするを選択し、スマートフォンのMetaTrader 4のMetaQuotes IDを入力後、GreenBoxインディケーターの各通知設定でプッシュ通知をtrueにするとプッシュ通知機能が動作するようになります。( アラート通知と異なり音通知機能と同時に利用しても問題なく動作します。メールと同様に外出先でもスマートフォンなどで通知を受け取れます。 )
GogoJungle1.11 (2021/04/30)
(1) 各種通知タイミングで、通知対象のオブジェクトを点滅させる機能をサポート
ご購入者様から『複数チャートで音声通知を利用する場合どのチャートで通知が発生したか分かるようにチャートを数秒点滅するなどの機能があると便利』との御提案をいただき検討した結果サポートした機能です。 通知対象のオブジェクト(トレンドライン・Target1~3・Pullback1~2・Stop・FixedBox)を通知するタイミングで指定時間(初期値30秒)点滅させる仕様になります。( 点滅はオブジェクトの色を指定ミリ秒で交互に反転させる仕組みです。 ) この機能により通知が発生したチャートとそのオブジェクトを直感的に素早く把握することが出来ます。(良いアイデアありがとうございました。)通知機能を使わない場合でも、forceBlinkObjectsパラメーターにtrueを設定することで各種イベント(新規トレンドライン生成など)発生時に対象オブジェクトを点滅させることが出来ます。
また、点滅機能を完全にOFFにしたい場合は、enableBlinkObjects=falseとforceBlinkObjects=falseとすると通知が発生したタイミングでもオブジェクトが点滅しなくなります。
(注意)ストラテジーテスター上ではオブジェクトが点滅しないためご注意願います。
≪パラメーター≫
enableBlinkObjects: 各種通知(アラート・音など)のタイミングでオブジェクトを点滅させる(初期値=true)
forceBlinkObjects: 通知を使わない場合でもイベント発生時に対象オブジェクトを点滅させる(初期値=false)
MaxBlinkObjects: 同時点滅するオブジェクトの数(古いオブジェクトは点滅OFF)(初期値=10個)
BlinkContinueSeconds: オブジェクトの点滅継続秒数 (初期値=30秒)
BlinkOnOffMilliseconds: オブジェクトの点滅間隔 (初期値=300ミリ秒間隔=0.3秒間隔)
(2) GrayBoxやGreenBox/RedBoxのpips数表示を背面→前面に変更可能
購入者様からBoxのpips数の表示が他のインディケーターの下になり隠れて見えないときがあり見えるようにしたいとの御提案を頂き、下記BoxTextBackパラメーターにfalseを指定することで、pips数表示を背面→前面に変更出来るようにしました。
≪パラメーター≫
BoxTextBack: GrayBoxなどのターゲットまでのpoint数を背景で表示する (初期値=true)
(3) おまけとして提供してた『GreenBox日本語音声サンプル2.zip』を製品のZIPファイルへ移動
製品のZIPファイルのサイズが若干大きくなりますが、製品のZIPファイル内の『おまけ』ディレクトリの下に『GreenBox日本語音声サンプル2.zip』を入れました。利用方法は『GreenBox日本語音声サンプル2.zip』内の『reaeme.txt』を参照願います。
利用規約
<ZIPファイル内容>
├ taro_GreenBox/ │├ MQL4/ ││├ Indicators/ │││├ taro_GreenBox.ex4 ... GreenBoxインディケーター本体(パソコンのMQL4/Indicatorsディレクトリ配下にコピーしてください) │││├ taro_CountDownRemainTime.ex4 ... おまけのインディケーター(ローソク足確定カウントダウン用) ││├ Presets/ .. 同様にMQL/Presets/配下にコピーしてください(任意) │││├ taro_GreenBox5_黒色背景_Simple.set ... GreenBoxパラメタ例(黒色背景チャートのシンプル表示) │││├ taro_GreenBox5_黒色背景_トレンドライン.set ... GreenBoxパラメタ例(黒色背景チャートのトレンドライン表示) │││├ taro_GreenBox5_白色背景_Simple.set ... GreenBoxパラメタ例(白色背景チャートのシンプル表示) │││├ taro_GreenBox5_白色背景_Simple.set ... GreenBoxパラメタ例(白色背景チャートのトレンドライン表示) │││├ taro_GreenBox5_SwingHighLow6PriceLabel.set ... GreenBoxパラメタ例(スイングハイロー(N=6)の価格ラベル表示) │├ templates/ .. 同様にtemplates/配下にコピーしてください(任意) ││├ taro_GreenBox_3Level.tpl ... 期間(5,13,34)の3つのGreenBoxを設定したチャート ││├ taro_GreenBox5_HLBands20.tpl ... H/Lバンド(20)とGreenBox(nBars=5)を組み合わせたサンプルチャート ││├ taro_GreenBox7_SwingHighLow6PriceLabel_HLBands20.tpl ... H/Lバンド(20)とGreenBox(nBars=7)を組み合わせたサンプルチャート ││├ taro_GreenBox5_Sample_SoundON_GreenBoxMode.tpl ...GreenBoxモードで相場を分析し音声解説実況するサンプルチャート │├ Sounds/ ││├ taro/ …音声解説実況用の音声サンプルファイルの格納ディレクトリです。必要に応じてMT4インストールディレクトリ\Sounds\配下にtaroディレクトリ毎コピーしてください。 │││├ xxx.wav ... サンプル音声ファイルです。(詳細はアラート・メール・音での通知の欄を参照してください。) │├ おまけ/ ││├ GreenBox日本語音声サンプル2.zip … 以前おまけとして提供していた音声ファイル2です。zipファイル内のreadme.txtを参照願います。 利用者様の使い勝手を考慮し、認証コードやパスワードなどは入れておりません。転売などは禁止させて頂きます。YouTube動画で使用しているEAは解説が分かり易くなるように作成したEAで、GreenBoxパッケージには含まれませんのでご注意願います。
<参考>
ver.1.11で通知オブジェクトの点滅機能をサポート (2021/04/30)
購入者様から『複数チャートで音声通知を利用する場合どのチャートで通知が発生したかを把握可能にする機能(チャートを数秒点滅など)があると便利』との改善アイデアを頂きました。
検討した結果、『通知対象のオブジェクト(各種ラインやボックス)を点滅(初期値30秒間)』する機能をver.1.11でサポートしました。
実際に利用してみると通知対象のチャートとその通知オブジェクトを瞬時に把握できて以前よりも格段に使い易くなった(←個人的感想)と思います。
( 各種通知タイミングでオブジェクトを点滅させる仕様ですが、通知(音声通知など)を一切使わない場合でもforceBlinkObjectsをtrueにするとイベントが発生したタイミングで強制的に対象オブジェクトを点滅させることが出来ます。 )
良い改善アイデアありがとうございました。
以下、音声通知のタイミングで各チャートの通知オブジェクトが点滅するサンプル動画です。
( この動画の音声は私の声を使っていますが、ご自身の声などWAVファイルを自由に指定可能です。 )
ver.1.10でプッシュ通知機能をサポート (2021/04/23)
[ツール]-[オプション]-[通知機能]で[レ]プッシュ通知機能を有効にするを選択し、ご利用されているスマートフォンのMetaTrader 4のMetaQuotes IDを入力後、GreenBoxインディケーターの各通知設定でプッシュ通知をtrueに設定するとプッシュ通知機能が動作するようになります。
( アラート通知と異なり音通知機能と同時に利用しても問題なく動作します。メールと同様に外出先でもスマートフォンなどで通知を受け取れます。 )
ver.1.9で音声実況解説のサンプルを提供 (2021/03/13)
チャートをリアルタイムにダウ理論・フィボナッチ・リトレースメント・トレンドラインなどで自動分析しながら音声実況解説するサンプルテンプレートをver.1.9で提供しました。 (次のYouTube動画はドル円(USD/JPY)の1時間足の2月~3/13週末の期間の音声解説例です。)
サンプルテンプレートは、ver.1.9でサポートしたメール・アラート・音での各種通知機能、フィボナッチ・リトレースメントのGreenBoxモードサポート、Pullbackラインのサポートなどのデモとしてサンプル提供したものです。
このサンプル設定例を参考に、皆さまのトレードスタイルや戦略に合わせてGreenBoxの各種通知機能を自由に組み合わせてトレードに活用して頂ければと思います。
ver.1.9のサポート・修正項目一覧
●フィボナッチ・リトレースメントのモードにGreenBoxモード(下図の基点に対応)を追加しました。
(詳細はフィボナッチ・リトレースメントの説明欄を参照してください。)
●FixedBox生成時に、Target1~3に加え、下図のPullback1、Pullback2、Stopラインもオプションで描画可能にしました。
●アラート・メール・音での通知機能を改善しました。(トレンドライン生成時、FixedBoxの各ラインタッチ時の通知を追加サポートなど)
(チャートをリアルタイムで分析しながら音声解説するサンプルテンプレートも提供し、このようなことが利用者がカスタマイズで実現可能な通知機能を実装しました。詳細はアラート・メール・音での通知説明欄を参照願います。 )
●フィボナッチ・リトレースメントの%値表示で%$などの指定で価格表示をしたりインデント調整出来るようにしました。
●GreenBoxインディケーターで作成するオブジェクトを『表示中のライン等リスト』で表示しないようにしてユーザーが作成したオブジェクトが一覧内で埋もれないようにしました。
●ローソク足確定カウントダウン用のインディケーターをおまけでZIPファイルに含めました。
GogoJungleを初めてご利用する方へ商品のご利用まではかんたん3ステップ!
GogoJungleでは、会員様向けに、あなたの投資生活を豊かにするサービスをご用意しております。また、商品のご購入は通常会員様に限られさせていただいております。今すぐ会員登録をして、Gogojungleを活用してみませんか!









