偶然か、計算か?【GOLD Scalp Pro】先週2回のデイ勝率100%達成の舞台裏
【先週の実績】Day勝率100%を2回達成!
偶然か、計算か?
最強のGOLDロジックが暴く相場の波
■ 焦らず「おいしい所」だけを狙う、最強のトレード環境がここに ■
ブログをご覧の皆様、こんにちは。FX-Skullです。
新しい1週間がスタートしました。先週の相場、皆様はどのように立ち回りましたか?
先日のCPI相場での勝利に続き、当システム『GOLD Scalp Pro』は先週も驚異的なパフォーマンスを発揮しました。
なんと、「Day勝率100%」を2回も達成したのです!
■ 先週の実績ハイライト(Day勝率100%達成)
この驚異的な数字をご覧ください。
4月8日 ノーマルモード
12勝0敗 勝率100%
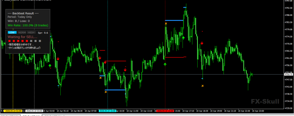
4月10日 ステイブルモード
8勝0敗 勝率100%
無駄な取引を徹底的に削ぎ落とし、「勝てる波」だけを的確に捉えているのがお分かりいただけるかと思います。
偶然か、それとも計算された内部ロジックの賜物か?
さて、この結果は単なる「偶然」なのでしょうか?
いいえ、それは当システムが誇る**「計算された内部ロジック」の賜物**に他なりません。
その根拠は、両日ともに「ロングサイン、ショートサイン」で勝利しているという点にあります。
ただのトレンド追従ではなく、相場の転換点やレンジ内での上下動も的確に捉えている証拠です。
4月8日 ノーマルモード:
ロング5勝、ショート7勝
4月10日 ステイブルモード:
ロング3勝、ショート5勝
▼ 4月8日のチャート画像(ノーマルモード 100%達成) ▼
▼ 4月10日のチャート画像(ステイブルモード 100%達成) ▼
これは、当システムが5分足の波を的確に捉えているからではないでしょうか。
焦らず、おいしいとこだけを狙う「最強のトレード環境」を、ぜひ皆様も体験してください。ポジションを持たない時間(ノーポジ)も立派なトレード戦略です。
「偶然ではなく、計算されたロジックによる勝利」
システムトレードにおいて、勝率は「自信」に繋がります。焦らず、おいしいとこだけを狙うプロのトレード環境を、ぜひ皆様も体験してください。
ランキングTOP5獲得の商品詳細はこちら ??
※オーナーズクラブへの参加権も同梱されています。


よろしいですか?