【雇用統計~GOLD逆張りスキャル】はこうして狙う~プロ志向のトレード戦略を徹底解説
こんにちは YUMEです✨
雇用時計といえば投資家にとっては毎月のビックイベント。
今回は、ゴールドで逆張りスキャルで応戦してみました。
私の投資ナビシリーズでは、有料級の手法を無料で惜しみなく公開しますので是非フォローして頂けると嬉しいです?
トレード歴は10年近くあります。
どうぞ最後までお付き合いいただければ幸いです。
雇用統計で注目すべき通貨は?
雇用統計はアメリカのイベントです。
正確には、毎月の失業保険の申請の割合に応じて結果が変わってきます。
雇用統計は、結果次第でマーケットに大きな影響を及ぼします。
ねらい目はドル絡みの通貨ペア
例えば、、
ドル円、ユーロドル、ポンドドル、ゴールド(XAUUSD)などがお勧め。
もちろん、雇用統計は結果次第で大きくこれらの通貨ペアが変動しやすいので、無理にポジションを取る必要はありません。
基本は、
”利益に繋がりそうな時だけ挑戦する”
感じでもOKです。
雇用統計~初心者にお勧めの通貨は?
やはりドル円、もしくはユーロドル。
ポンドドルや、ゴールドは普段のトレードに鳴れてきてから挑戦することをお勧めします。
なぜなら、ポンドドルやゴールドは動きに癖が有るので、
通貨の特徴をしっかり理解した上でトレードに臨むことをお勧めします。
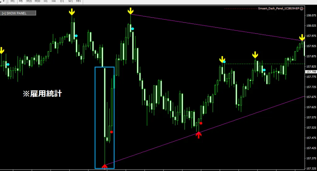
雇用統計(2026/03/06)発表後のドル円の様子
以下は、今回の(3月6日金曜日)の雇用統計発表後のドル円の様子です。
ドル円は、発表直後に大きく下落s、その後反転しています。
※反転している価格に『買いサイン』が確認出来ますね
上記の買いのサイン(矢印サイン&ドットサイン)は、
NODE HUNTERのサインになります。
ドル円チャートから読み取れる相場の心理とは?
チャートはドル円5分足、
子のチャートから考えられる相場の心境とは、
雇用統計で一時的に多い区下落したが、
買いの圧力が強いためか、再度発表前の価格を意識して上昇
。。。ということがうかがえます。
このチャートからすると、ねらい目(エントリーを仕掛けるタイミング)は、
『NODE HUNTERのドットサイン』が確認出来る
発表直後のローソク足の次のローソク足。
このタイミングで買いを仕掛けることで、利益に繋がり易かったといえるでしょう。
逆相関関係を意識したトレード戦略
雇用当家の場合、ドル円とユーロドル、ゴールドは、ほぼ反対の動きになります。
これまでに何度も雇用統計を経験してきましたが、
ドル円とユーロドルはほぼ、非対称の動きになります。
ドル円と「逆相関関係」にあるゴールドも同様です
ゴールド(XAUUSD)の様子
こちらは、ゴールドで売りエントリーした時の様子です
◆ゴールド逆張りスキャル・・・+1188pips(含み)
【ポイント】
✅ ドルは上昇(買われている)
✅ 売りサインが点灯している
✅ ドットサイン(ブレイク確定サイン)が点灯
以上の条件が揃っていることから、エントリーを判断しました。
NODE HUNTER(ノード・ハンター)のエントリーサインに組み込まれている『プロ志向の戦略』とは?
私が開発したNODE HUNTER(ノード・ハンター)は、
あえて『矢印サイン』と、『ドットサイン』の2段構えを採用しています。
その意味とは、
✅ トレンドの転換・・・矢印サイン
?システムが『天井・底』を自動で判断
✅ ドットサイン・・・ブレイク確定サイン
?独自のアルゴリズムにより、ブレイクの方向性を判断
特に力を入れたのが、ドットサイン。
詳細は企業秘密なので明かせませんが、非常にロジックを組み込んでいます。
風林火山とドットのシンクロ
疾きこと風のごとく:ドットが出れば迷わずエントリー。
徐(しず)かなること林のごとく:2本確定するまで静かに待つ。
侵掠(しんりゃく)すること火のごとく:波に乗れば一気に利益を伸ばす。
動かざること山のごとく:サインがなければ、何があっても手を出さない。
こんな感じです。
こうしたルールは、ボラティリティーの河海雇用統計にも十分応用が可能といえます。
※インジケーターの詳細はこちら▼
https://www.gogojungle.co.jp/tools/indicators/75381
おまけ::気になる今後のドル円の行方
ドル円は先週遂に158円を突破。
その後は、雇用統計により、一時的に下落しましたが、
長期目線では未だ買いの圧力が高いと思われます。
微妙に2つ手前の直近よりも、やや右肩下がりなのもきのなりますが、
上部トレンドラインをうわ抜けすると、
さらなるブレイクも考えられると思います。
今後の値動きに注目したいところですね。
Is it OK?